Яды растений

ЯДЫ РАСТЕНИЙ, представлены большим многообразием типов соед. (от простых, напр., HCN или FCH2COOH, до белков и пептидов), обладающих разл. механизмами токсич. действия.

Яды растений белковой природы. Выделенные в индивидуальном состоянии и достаточно хорошо изученные соед. этой группы относительно немногочисленны. К ним в первую очередь относятся гликопротеины рицин, сходный с ним по строению и механизму действия абрин (выделен из тропич. растения абрус - Abrus precatorius, семейство бобовых; мол. м. 65 тыс.) и циклопептиды бледной поганки.
Яды грибов из рода мухомор (Amanita) - фаллотоксины и аматоксины (соотв. ф-лы I, II) - содержатся в разл. видах: бледной поганке (A. phalloides), мухоморе вонючем (A. virosa), весеннем (A. verna) и др. Молекулы этих соед. представляют собой бициклич. полипептиды, в к-рых мостик содержит фрагмент молекулы триптофана или его производных. Механизм токсич. действия аматоксинов у человека и животных связан с ингибированием ДНК-зависимой РНК-полимеразы (см. РНК-полимеразы);фаллотоксины необратимо связываются с примембранным актином, вызывая его полимеризацию, что приводит к нарушению мембран гепатоцитов (клеток печени). Для мышей ЛД50 (в мг/кг) при пероральном введении (через рот) наиб. активных токсинов: 1 - a-аманитин, 3 -6049-8.jpg-аманитин, 7 -6049-9.jpgаманитин, 10 - фаллоин, 28 -фаллоидин. Для человека смертельная доза a-аманитина 5-7 мг, фаллоидина 20-30 мг (в одном грибе в среднем содержится до 10 мг фаллоидина, 8 мг6049-11.jpg-аманитина и 5 мг6049-12.jpg -аманитина). Скрытый период действия 6 - 48 ч. Первичные симптомы отравления: рвота, кишечные колики, боли в мышцах, жажда, холероподобный понос; возможно проявление желтухи и увеличение печени. Происходят снижение артериального давления, потеря сознания. Смерть наступает в результате токсич. гепатита и острой сердечной недостаточности. Первая помощь: промывание желудка, прием активир. угля, искусств. дыхание.

6049-10.jpg

Токсичный гликопротеин фламмулин (мол. м. 22 тыс.) продуцируется зимним грибом (Flammulina velutipes). Его полипептидная часть содержит 192 аминокислотных остатка. Для мышей ЛД50 при внутрибрюшинном введении (в/бр) 2,4 мг/кг. Этот токсин обладает кардиотоксич. действием, вызывает лизис эритроцитов. Подобным действием обладает вольвотоксин А (ЛД50 1,2 мг/кг, мыши, в/бр) - сложный полипептид, состоящий из вольвотоксинов А1 и А2 с мол. м. 45-50 тыс. и 24-25 тыс. соответственно, содержащийся в грибах вольвариелла съедобная (Volvariella volvaceae).
Нек-рые микроскопич. грибы (см. Микотоксины)и водоросли также продуцируют токсичные пептиды. Напр., гриб из рода пеницилл (Penicillium islandicum) содержит циклопептид циклохлоратин (мол. м. 572; ЛД50 0,4 мг/кг, мыши, в/бр), обладающий гепатотоксич. действием, вызывающий респираторную недостаточность и геморрагич. поражения кишечника. Синезеленые водоросли Microcystis aemginosa продуцируют микроцистистоксин, являющийся циклодекапептидом с мол. м. ок. 1200 и обладающий выраженным нейротоксич. действием (ЛД50 0,4 мг/кг, мыши, в/бр). Летальный исход наступает в течение 30 мин в результате остановки дыхания. В больших дозах этот токсин вызывает также кровоизлияния в легких и печени, обширные тромбозы.
Большая группа токсичных в-в белковой природы выделена из разл. видов семейства омеловых (Dendrophtora clavata, Phoradendron и др.), кротона (Croton tiglium), модеки и адении из семейства страстоцветных (Modeca digitata и Adenia volkensii), момордики, или индийского огурца, из семейства тыквенных (Momordica charantia), растения из семейства бобовых Canavalia ensiformis и др. высших растений.
Большинство токсичных в-в из омелы (ценлатоксины А и В, лигатоксин А, форатоксин, вискотоксины А2 и В) представляет собой одноцепочечные по-липептиды с мол. м. 4900-6000, содержащие в молекуле ок. 50 аминокислотных остатков и 3 дисульфидные связи (ЛД50 0,5-1,6 мг/кг, мыши, в/бр). Вискотоксины омелы белой (Viscum album) вызывают рефлекторную брадикардию, кар-диотоксич. эффект, гипотензию, сужение сосудов кожи и скелетных мышц.
Токсины кротин I (из кротона слабительного) и момодрин (из индийского огурца) представляют собой полипептиды с мол. м. 72 тыс. и 23 тыс. соответственно. Продуцируемый страстоцветными модецин и волкензингликопротеины с мол. м. ок. 63 тыс. Все эти 4 токсина являются ингибиторами синтеза белка. Величины ЛД50 (мг/кг, мыши, в/бр): для кротина - 1-36, для момодрина - 5, для модецина - 0,002, для волкензина - 0,0014.

Яды растений небелковой природы. Среди этих в-в обычно выделяют 3 группы: 1) обладающие выраженной специфичностью действия и относительной общностью элементов структуры (напр., алкалоиды);2) обладающие менее выраженной специфичностью действия, но большей универсальностью для растит. мира (напр., гликозиды, в первую очередь - гликозиды сердечные и сапонины); иногда в эту группу включают терпеноиды, флавоноиды и орг. к-ты; 3) остальные токсичные соед. растит. происхождения, обладающие разнообразием структурных типов и механизмов действия и практически не поддающиеся классификации.
Алкалоиды вырабатываются высшими, преим. цветковыми, растениями. Полагают, что присутствие ядовитых алкалоидов во мн. цветковых и бурное развитие последних в меловом периоде послужило причиной вымирания динозавров и др. травоядных рептилий. К числу наиб. токсичных относятся в осн. алкалоиды 3-х классов: индольные (напр., стрихнин, курарин и физостигмин), дитерпеновые (напр., аконитин) и пиридиновые (напр., никотин).
Стрихнин и бруцин содержатся в разл. видах представителей рода стрихнос, в т. ч. чилибухи (Strychnos nux-vomica). Стрихнин поражает в первую очередь спинной мозг, затем центр. нервную систему; в результате ухудшаются зрение, слух и обоняние, нарастают судороги; смерть наступает в результате паралича дыхат. центра. Для мышей ЛД50 0,4 мг/кг при внутримышечном введении (в/м); летальная доза для человека при пероральном введении - 200-300 мг. Для бруцина характерна курареподобная активность (см. Курареподобные средства); он примерно в 20 раз менее токсичен, чем стрихнин.
Группа кураринов включает неск. десятков токсичных алкалоидов, обладающих паралитич. активностью (продуценты - виды рода стрихнос S. toxifera и S. lasteniae). Наиб. сильный яд этой группы - С-токсиферин I (ф-ла III), проявляющий парализующее действие для теплокровных в дозах 10 мкг/кг (в опытах на нервных клетках). Летальная доза для человека при внутривенном (в/в) введении ок. 20 мг.
Аналогичным характером действия обладает тубокурарин - осн. действующее начало яда "кураре". Он менее токсичен, чем С-токсиферин I (ЛД50 0,2 мг/кг, мыши, в/м).

6049-13.jpg

Физостигмин (эзерин; из плодов бобового растения физостигма ядовитая, или калабарские бобы,- Physostigma venenosum) и галантамин (из клубней подснежников Galanthus woronowii и G. nivalis; см. Амариллисовые алкалоиды, Антихолинэстеразные средства) - ингибиторы холинэстераз. В больших концентрациях возбуждают и затем перевозбуждают парасимпатич. нервную систему. Смерть наступает в результате остановки дыхания (ЛД50 0,5 мг/кг, мыши, в/м).
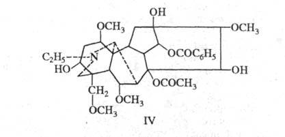
Аконитин (IV) и близкий ему по св-вам зонгорин (ф-лу см. в ст. Дитерпеновые алкалоиды), содержащиеся в разл. видах аконита (Aconitum soongaricum и др.), обладают судорожно-паралитич. действием, к-рое обусловлено повышением проницаемости Na+ в мембранах нервных и мышечных клеток и их деполяризации. Симптомы тяжелого отравления: учащение и затем замедление дыхания, озноб, потовыделение, боль в области сердца и аритмия, паралич скелетных мышц, понижение т-ры тела. Смерть наступает в результате остановки сердца и паралича дыхания. ЛД50 0,035 мг/кг (собаки, в/в), летальная доза для человека при пероральном введении - 2-5 мг. Первая помощь: промывание желудка р-ром таннина, прием активир. угля, теплое питье.

6049-14.jpg

Никотин (V; т. пл. < -30 oС, т. кип. 246 °С с разл.,6049-15.jpg 1,014-1,015) вырабатывается корнями табачных растений. Бесцв. маслянистая жидкость, хорошо раств. в воде и орг. р-рителях. Блокатор н-холинорецепторов (чувствительны к никотину) в симпатич. и парасимпатич. ганглиях скелетных мышц. При остром отравлении наблюдаются тошнота, рвота и брадикардия, затем - тахикардия, судороги и угнетение (вплоть до полной остановки) дыхания. ЛД50 0,3 мг/кг (мыши, в/м).

6049-16.jpg

Козы и косули не восприимчивы к токсич. действию; летальная доза для человека при пероральном введении - 50-100 мг.
Растения семейства дымянковых Fumariaceae (хохлатка полая, хохлатка Горчакова, хохлатка Маршалла) содержат ядовитые алкалоиды группы бульбокапнина - бульбокапнин, бикукулин (соотв. ф-лы VI, VII) и др. Бульбокапнин оказывает влияние гл. обр. на центр. нервную систему. В небольших дозах он вызывает каталепсию (вид двигат. расстройства), снижение артериального давления; в больших (0,3-0,5 мг/кг, мыши) - судороги, заканчивающиеся смертью. Бикукулин - судорожный яд, блокирующий тормозные рецепторы6049-17.jpgаминомасляной к-ты в нервной системе. При действии экстрактов, содержащих сумму алкалоидов дымянковых, наблюдаются угнетение центр. нервной системы, восковая гибкость мускулатуры, замедление сердцебиения и дыхания (вплоть до полной остановки). Первая помощь при отравлениях: промывание желудка, прием активир. угля, искусств. дыхание.

6049-18.jpg

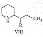
Алкалоиды группы кониина [кониин (VIII; R = Н) конгидрин (VIII; R = OH) и др.], содержащиеся в болиголове пятнистом (Conium maculatum L.), являются частыми причинами отравления домашнего скота и людей. При пероральном введении в дозах 50-150 мг они вызывают у человека восходящий паралич, тахикардию, остановку дыхания.
В сравнительно больших дозах тяжелые и смертельные отравления человека вызывают алкалоиды и др. групп. Напр., широко используемый в медицинской практике морфин вызывает летальный исход при пероральном введении 100-300 мг.

6049-19.jpg

К ядам растений, содержащим в молекуле остаток углевода, относятся гликозиды. В этом ряду выраженной физиол. активностью обладают сердечные гликозиды. В качестве агликона их молекулы содержат лактоны стероидной природы. Сердечные гликозиды продуцируются лютиковыми Ranunculaceae, но-ричковыми Scrophulariaceae, шелковицей Могасеае и др. В токсич. дозах (для кошек 0,1-1 мг, для человека 3-7 мг; в зависимости от способа введения) вызывают остановку сердца в фазе систолы. При тяжелых отравлениях наблюдаются тошнота, рвота, брадикардия, трепетание желудочков сердца. Многие гликозиды (напр., дигитоксин) обладают кумулятивными св-вами. Токсич. эффект обусловлен в осн. нарушением работы Na- К- насоса в миокарде, что приводит к дефициту внутриклеточного К+.
Другая группа активных гликозидов - сапонины, большинство из к-рых является гемолитич. ядами. Гемолиз у наземных позвоночных наблюдается при разведении 1:5 x 104 (для рыб при 1:106). Сапонины продуцируются нек-рыми растениями семейств бобовых (Аbасеае), сапотовых (Sapotaceae), астровых (Asteraceae), аралиевых (Аrаliасеае) и др. Тритерпеноидные сапонины раздражают слизистые, вызывают рвоту, понос, кровоизлияния, нарушения сердечно-сосудистой деятельности, одышку; угнетение центр. нервной системы обусловливает судороги и параличи. При высоких дозах возможна очень быстрая гибель человека или животного в результате паралича дыхат. центра. Специфич. высокая токсичность сапонинов по отношению к рыбам связана со способностью этих в-в нарушать функционирование жабер. Сапонин дигитонин используют в биохим. исследованиях для солюбилизации и реконструкции биол. мембран.
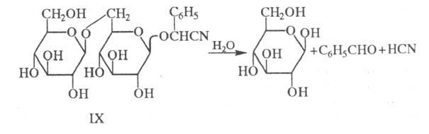
Третья группа ядов растений небелковой природы включает соед. разл. структурных типов. Простейшее ядовитое соед. HCN присутствует в растениях в связанной форме в виде цианогенных гликозидов (напр., амигдалин; ф-ла IX), к-рые высвобождают HCN в процессе ферментативного гидролиза после повреждения клетки:

6049-20.jpg

Амигдалин присутствует в ядрах абрикосовых косточек. Употребление в пищу ок. 100 г ядрышек (1 г амигдалина) обычно вызывает у человека летальный исход (токсичность HCN обусловлена ее способностью образовывать комплекс с цитохромоксидазой и блокировать тем самым клеточное дыхание).
Другой простейший яд - фторуксусная кислота. В форме калиевой соли она содержится в тропич. растении дихапеталум цимозный (Dichapetalum cymosum). Токсичность этого соед. значительно различается для разных видов животных. Так, ЛД50 (мг/кг) при пероральном введении для собак - 0,07, крыс - 7, лошади - 1, для человека - 2-10. В плодах произрастающего там же растения дихапеталума ядовитого (D. toxicorium) содержатся менее токсичные к-ты -6049-21.jpgфторолеиновая и6049-22.jpgфторпальмитиновая. Местное население использовало эти яды для смазывания наконечников стрел и как отраву для крыс. Механизм токсич. действия фторуксусной к-ты связан с превращением ее в трикарбоновых кислот цикле во фторцитрат - мощный ингибитор фермента аконитазы, что обусловливает нарушение обмена в-в.
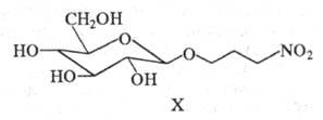
Часто причиной массовых отравлений и гибели домашнего скота является употребление им в пищу астрагала смертельного (Astragalus miser) из семейства бобовых, содержащего мизеротоксин (X) -6049-23.jpgгликозид нитропропанола. Считается, что токсин в результате гидролиза продуцирует 3-нитропропанол, к-рый поражает в головном мозге центры, ответственные за дыхание и мышечные сокращения.

6049-24.jpg

Ядовитые св-ва зонтичных - цикуты (Cicuta virosa) и лабазника (Oenanthe crocata) обусловлены присутствием в них токсичных ацетиленовых диолов - цикутотоксина НО(СН2)3С6049-25.jpgСС6049-26.jpgС(СН=СН)3СН(ОН)(СН2)2СН3 и энантотоксина НОСН2СН=СНС6049-27.jpgСС6049-28.jpgС(СН=СН)2(СН2)2СН(ОН)(СН2)2СН3. Оба токсина быстро всасываются из пищеварит. тракта, оказывая судорожное действие на центр. нервную систему (в результате изменения проницаемости Na-каналов хемовозбудимых мембран). Признаки тяжелого отравления у человека: головная боль, рвота, боли в животе, озноб, слюнотечение, клонико-тонические судороги. Смерть наступает в результате остановки дыхания (у крупного рогатого скота - после поедания ок. 200 г растит. массы).
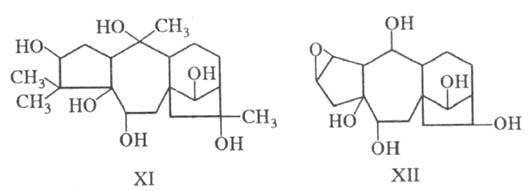
Группа токсичных дитерпенов (грайанотоксинов) содержат растения семейства рододендронов. Наиб. известные яды - грайанотоксин III (ф-ла XI) и родоспонин III (ф-ла ХП) - нейротоксины, вызывающие повышение проницаемости мембран нервно-мышечной ткани для ионов Na+. Признаки отравления: слюнотечение, нарушение координации движений, судороги (ЛД50 0,4-0,6 мг/кг, мыши, в/бр).

6049-29.jpg

Пикротоксинин (ХIII) - действующее начало яда растений семейства луносемянниковых (Menispermaceae) - антагонист6049-30.jpgаминомасляной к-ты. Он обладает судорожным действием (ЛД50 0,03 мг/кг, крысы, в/в; 3 мг/кг, мыши, в/м).
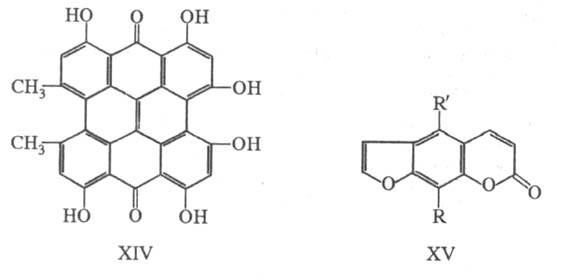
Необычным действием обладают гиперицин (XIV) из зверобоя пронзеннолистного (Hypericum perforatum), а также псорален (XV; R=R'=H), ксантотоксин (XV; R=ОСНз, R'=H) и бергаптен (XV; R=H, R'=ОСН3), встречающиеся в растениях семейств рутовые (Rutaceae), зонтичные (Umbelliferae), бобовые и тутовые (Могасеае). Эти в-ва накапливаются в коже и наружных тканях, делая их чувствительными к УФ и длинноволновому облучению. В результате на солнечном свету образуются дерматиты, очаги ожогового поражения и некротич. участки.

6049-31.jpg

6049-32.jpg

Группу ядовитых в-в относительно простого строения содержат нек-рые виды высших грибов. Напр., мухомор красный (Amanita muscaria) продуцирует мускарин (XVI; т. пл. 181-182 °С), являющийся имитатором ацетилхолина по отношению к парасимпатич. постганглионарным синапсам (мускариночувствительным, или м-холинорецепторам). Мускарин снижает у человека артериальное давление (в дозах ок. 10-6 мг/кг), амплитуду и частоту сердечных сокращений; в больших дозах вызывает спазмы мышц, судороги, слюнотечение и коматозное состояние (ЛД50 0,2 мг/кг, мыши, внутривенно; 0,7 мг/кг для человека при пероральном введении).
Мухоморы A. muscaria содержат также мусказон (XVII), обладающий психогенным действием (вызывает у человека потерю памяти и ориентировки, расстройство зрения), а разл. виды строчков (напр., Gyromitra esculenta) -один из простейших ядов гирометрин СН3СН = NN(CH3)CHO, симптомы отравления к-рым такие же, как и при действии ядов бледной поганки.

6049-33.jpg

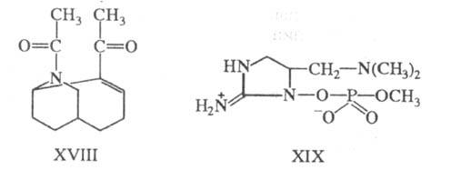
Из синезеленых водорослей выделены анабенатоксин (XVIII; быстродействующий смертельный фактор, или БДСФ) и анатоксин a(S) (XIX). Первый вызывает длит. постсинаптич. поляризацию синаптич. мембран и нейромышечную блокаду; смерть наступает от остановки дыхания (ЛД50 ок. 0,1 мг/кг, мыши, в/бр), инкубационный период ок. 15 мин. Анатоксин a(S) обладает антихолинэ стеразным действием и высокой токсичностью (ЛД50 ок. 0,02 мг/кг, мыши, в/бр).

6049-34.jpg

Яды растений, являясь во мн. случаях источником опасности для человека и животных, как правило, не токсичны для представителей растит. мира. Большое число ядов растений (напр., многие алкалоиды, гликозиды, флавоноиды, сапонины) широко используют в мед. практике в качестве лек. ср-в. Многие яды растений (напр., тубокурарин, атропин, физостигмин, рицин, мускарин) применяют в биохим. исследованиях.

Лит.: Горюнова С. В., Демина Н. С., Водоросли - продуценты токсических веществ, М., 1974; Вассер С. П., в кн.: Актуальные вопросы современной ботаники, К., 1976; Барбье М., Введение в химическую экологию, пер. с франц., М., 1978; Харборн Д., Введение в экологическую биохимию, пер. с англ., М., 1985; Орлов Б.Н., Гелашвили Д.Б., Ибрагимов А. К., Ядовитые животные и растения СССР, М., 1990.

Г. И. Дрозд.