Морфин
МОРФИН, алкалоид, выделенный из снотворного, или опийного, мака (Papaver somniferum); ф-лу см. в ст. Мор-финановые алкалоиды. Представляет собой бесцв. кристаллы, т. пл. 254 °С; [a]D —140° (СН3ОН); плохо раств. в воде, этаноле, диэтиловом эфире, СНСl3, бензоле, лучше-в теплом метаноле. Из водно-этанольного р-ра кристаллизуется с одной молекулой Н2О, к-рую теряет при 100 °С.
Морфин получают из опия-сгущенного млечного сока, вытекающего из надрезов на недозрелых головках снотворного мака, культивируемого для этой цели. Содержание морфина в опии колеблется от 10 до 20% (по массе).
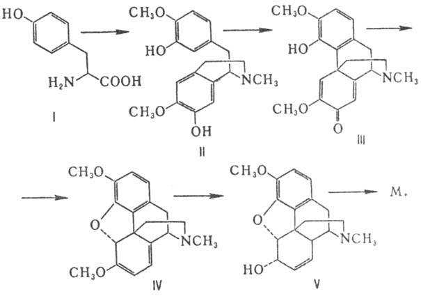
Осуществлен полный лаб. синтез морфина. В растении он образуется из тирозина (ф-ла I) через ретикулин (II), салутаридин (III), тебаин (IV) и кодеин (V):

Морфин-наркотич. анальгетик, оказывает сильное болеутоляющее, а также противошоковое действие. В больших дозах-снотворное. Угнетает дыхат. центр, вызывает эйфорию, при его повторном применении быстро развивается болезненное пристрастие (морфинизм). Эти св-ва морфина ограничивают в ряде случаев его использование. Применяют морфин при травмах и заболеваниях, сопровождающихся сильными болевыми ощущениями.
Исп. литература для статьи «МОРФИН»: Орехов А. П., Химия алкалоидов, 2 изд., М., 1955. с. 442 80, Bentley К. W., в кн.: The alkaloids, ed by R.H.F. Manske, v. 13, N.Y. [a.o.], 1971, p. 1-163. M.C Юнусов.
Дополнения к описанию морфина: