Антихолинэстеразные средства

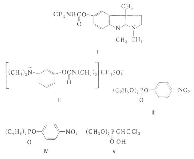
АНТИХОЛИНЭСТЕРАЗНЫЕ СРЕДСТВА, инактивируют холинэстеразу - фермент, ответственный за гидролиз аце-тилхолина. Последний служит медиатором, т.е. хим. передатчиком нервного возбуждения. В случае умеренного торможения активности холинэстеразы передача возбуждения облегчается в связи с накоплением ацетилхолина. При значительном или полном угнетении активности, особенно если оно возникает внезапно, ацетилхолин накапливается в синапсах в концентрациях, вызывающих отравление. В зависимости от хим. природы антихолинэстеразные средства обычно делят на три группы: карбаматы, эфиры фосфорных к-т, четвертичные аммониевые соединения. К т. наз. нетипичным антихолинэстеразным средствам относятся, напр., галантамин (см. Амариллисовые алкалоидытакрин - производное аминотетрагидроакридина. При воздействии карбаматов и фосфатов ингибирование фермента сводится к ковалентному связыванию функц. группой антихолинэстеразного средства эстератич. центра холинэстеразы. Восстановление активности последней происходит в результате деацилирования образовавшихся соед., прочность к-рых различна в зависимости от природы антихолинэстеразного средства. Напр., при использовании карбаматов активность холинэстеразы восстанавливается быстро, а при использовании фосфатов получаются такие прочные соединения, что их деацилирование возможно только с помощью сильных нуклеофилов. На этом основано деление антихолинэстеразных средств на обратимые и необратимые ингибиторы. К обратимым относятся физостигмин (ф-ла I), галантамин и прозерин (II), к необратимым - фосфакол (III), нибуфин (IV), а также нек-рые инсектициды, напр. хлорофос (V), и отравляющие в-ва типа зарина.
1035-5.jpg

Антихолинэстеразные средства используют как лек. ср-ва при послеоперационной атонии кишечника и мочевого пузыря, мышечных параличах и др. Многие антихолинэстеразные средства применяют для сужения зрачка и снижения внутриглазного давления. Они служат также противоядиями при отравлениях атропиноподобными в-вами. Широкое применение антихолинэстеразные средства (преим. фосфаты) находят в кач-ве инсектицидов и акарицидов.

Большинство антихолинэстеразных средств - высокотоксичные соед., поэтому их использование требует соблюдения мер предосторожности.

Литература

Голиков С. Н, Розен гарт В. И, Холинэстеразы и антихолинэстеразные вещества, Л., 1964. С.Н. Голиков.

Синонимы/примеры:* Физостигмин; Неостигмин; Пиридостигмин; Галантамин; Ривастигмин; Донепезил; Эдрофоний; Амбеноний
*подобраны ИИ, возможны неточности