Хинолин

ХИНОЛИН, мол. м. 129,15; бесцв. жидкость с запахом пиридина, во влажном воздухе на свету желтеет; т. пл. -15,2 °С, т. кип. 236,6 °С, 108,8/10 мм рт. ст.;6001-22.jpg 1,0929;6001-23.jpg 1,6268;6001-24.jpg 7,27 х 10-30 Кл х м; давление пара 0,34 кПа (75,3°С), 1,41 кПа (104,3 °С);6001-25.jpg 83,65 кДж/кг. Хорошо раств. в этаноле, диэтиловом эфире, бензоле, мало раств. в воде (0,7% при 20 С); гигроскопичен (захватывает до 22% Н2О); перегоняется с водяным паром. С неорг. и орг. солями дает аддукты (напр., C9H7N х HgCl2 с т. пл. 223,5 °С), используемые для его выделения, очистки и идентификации.

6001-26.jpg

Хинолин- основание, сильнее, чем анилин, и слабее, чем пиридин, рКа 4,90. Легко протонируется по атому N, образуя с минер. к-тами ограниченно растворимые устойчивые соли (т. пл. сульфата 164, дихромата 167, фосфата 165, хлороплатината 218 °С), с алкил-, нек-рыми арил-, ацилгалогенидами и диалкилсульфатами - соответствующие четвертичные соли (соли хинолиния).
1-Алкилхинолинийгалогениды при нагр. в запаянной трубке до 300 °С претерпевают Ладенбурга реакцию с миграцией алкильного заместителя преим. в положения 2, 4 и 8; присоединяют цианид-анион с образованием 4-цианохинолинов, превращающихся в кислой среде в 4-хинолинкарбоновую (цинхониновую) к-ту. К 1-ацилхинолиниевым солям цианид-анион присоединяется, давая 1-ацил-2-циано-1,2-дигидрохинолины - соед. Рейссерта.
Электроф. замещение хинолина в мягких условиях идет преим. по положениям 5 и 8, напр. сульфирование дымящей H2SO4 при слабом нагревании, нитрование смесью HNO3 и H2SO4 при 0 °С или галогенирование в конц. H2SO4 без нагревания в присут. Ag2SO4. Сульфирование при 230 °С идет в положение 5, при 300 С - гл. обр. в положение 6; нитрование с помощью Zr(NO3)4 протекает преим. в положение 7. Нитрование смесью HNO3 и H2SO4 при нагр. приводит к смеси 5,7- и 6,8-динитрохинолинов (вторая нитрогруппа вступает в мета-положение к первой). Галогенирование хинолина в ССl4 и нитрование HNO3 в (СН3СО)2О или N2O4 протекает с хорошими выходами по механизму присоединения - отщепления и приводит к образованию соответствующих 3-замещенных производных.

Нуклеоф. аминирование хинолина NaNH2 по Чичибабина реакции, алкилирование и арилирование литийорг. соед. или реактивами Гриньяра и гидроксилирование КОН или гипохлоритами щелочных металлов протекают преим. по положению 2.
При действии восстановителей или каталитич. гидрировании над Pt хинолин превращается в 1,2,3,4-тетрагидрохинолин, к-рый при дальнейшем гидрировании дает декагидропроизводное. Окисление надкислотами приводит к хинолин-N-оксиду, щелочным р-ром КМnО4 или SeO2 в кипящей H2SO4 -к 2,3-пиридиндикарбоновой (хинолиновой) к-те.
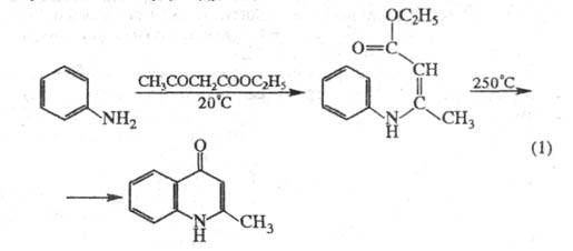
Хинолин выделяют при перегонке кам.-уг. смолы, нефтяных дистиллятов (т. кип. 230-240 °С), табака, алкалоидов цинхонина и хинина (в присут. щелочи в жестких условиях). Получают хинолин и его производные по Дёбнера-Миллера реакции, Скраупа реакции, Фридлендера синтезом, взаимод. ароматич. аминов с6001-27.jpg-кетоэфирами - синтезы Конрада-Лимпаха (р-ция 1) и Кнорра (2), циклизацией орто-аминопроизводных коричной к-ты (3) и др.:

6001-28.jpg
6001-29.jpg
Хинолин - высококипящий слабоосновный р-ритель для S, Р, Аs2О3 и др. в-в; ксилольный р-р смеси хинолина с S (6:1) - яд Розенмунда-Цетше - используется при восстановлении хлорангидридов карбоновых к-т до альдегидов в присут. 0,5% Pd на BaSO4 или Pd/C; хинолин с порошком Сu применяют для декарбоксилирования непредельных к-т и дегидрогалогенирования продуктов взаимод. енолов с дихлоркарбенами. Производные хинолина - основа произ-ва мн. лек. препаратов, напр. энтеросептола, аминохинола, трихомонацида, хиноцида и др., а также цианиновых красителей. Ядро хинолина входит в состав хинолиновых алкалоидов.

Лит.: Петренко Д. С., Пирвдиновые и хинолиновые основания, М., 1975; Физер Л., Физер М., Реагенты для органического синтеза, т. 4, М., 1977, с. 120; Общая органическая химия, пер. с англ., т. 8, М., 1985, с. 196-255.

Л. Н. Яхонтов.

Синонимы/примеры:* Хинолин; 1-Азанафталин; Бензо[b]пиридин
*подобраны ИИ, возможны неточности