Скраупа реакция
СКРАУПА РЕАКЦИЯ (Скраупа синтез), получение хи-нолинов взаимод. первичных ароматич. аминов с глицерином в присут. дегидратирующего агента и окислителя:

В качестве дегидратирующего агента используют Н2SO4 (концентрация 60-70%), в качестве окислителя-обычно ArNO2 с Аг как у исходного амина.(применяют также I2, FeCl3, SnCl4, м-O2NC6H4SO3H и др.). Добавление в реакц. смесь FeSO4, CH3COOH, а также замена ароматич. амина на соответствующий ацетамид обеспечивают регулируемость процесса, к-рый в нек-рых случаях протекает бурно.
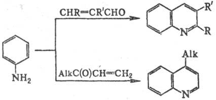
Замена глицерина непосредственно на акролеин обычно приводит к значит. осмолению продуктов. Однако замещенные производные акролеина и их ацетали, винилкетоны, и соед., образующие их в условиях р-ции, реагируют по схеме Скраупа реакции, напр.:

В р-цию вступают мн. замещенные ароматич. амины [лишь такие заместители, как СН3С(О), СН3О, CN, F в нек-рых случаях в условиях Скраупа реакции отщепляются]. Моно-орто-замещенные анилины обычно образуют 8-замещен-ные хинолины, пара-замещенные - хинолины с заместителем в положении 6. мета-Замещенные анилины образуют 5- и(или) 7-замещенные хинолины. При этом дезактивирующие и мета-ориентирующие заместители (напр., NO2) благоприятствуют замыканию цикла по положению 2 с образованием 5-замещенных хинолинов; сильные активирующие и орто(пара)-ориентирующие группы (напр., ОСН3) способствуют замыканию цикла по положению 6 с образованием 7-замещенных хинолинов. В остальных случаях образуются смеси изомеров. Соотношение изомерных хинолинов иногда зависит от концентрации к-ты. Так, в присут. 60%-ной H2SO4 м-хлоранилин образует смесь 5-и 7-хлорхинолинов в соотношении 1:1,4, а с 80%-ной-в соотношении 1:3,9.
Диорто-замещенные анилины не вступают в Скраупа реакцию. Из 3,4-дизамещенных анилинов образуются два изомерных хинолина, причем наличие ориентантов 1-го рода благоприятствует образованию 6,7-производных. Ароматич. диамины реагируют с двумя эквивалентами глицерина с образованием фенантролинов.
Аминопроизводные нафталина, антрацена, фенантрена и др. конденсированных ароматич. соед. в условиях Скраупа реакции образуют т. наз. арохинолины [напр., 1-нафтиламин образует бензо[h]хинолин (ф-ла I), 2-нафтиламин-бензо[f]хи-нолнн (II)]:

Стремление к замыканию кольца по положению 1 настолько сильно, что галоген или группа NO2 в положении 1 в 2-нафтиламинах отщепляются в ходе р-ции (в результате образуются арохинолины ф-лы I).
В условиях Скраупа реакции аминопроизводные ряда тиофена, фурана и пиридина частично разлагаются и обычно дают низкие выходы соответствующих; конденсир. гетероциклич. систем, напр.:

Обычно Скраупа реакцию осуществляют, нагревая смесь реагентов в течение неск. часов (реже - минут). Затем смесь охлаждают, приливают воду (иногда водный р-р NaOH), выделяют конечный продукт перегонкой с водяным паром. Выходы 40-90%. Осн. побочные продукты-смолы, продукты гидролиза замещенных ароматич. аминов, изомерные конденсир. системы.
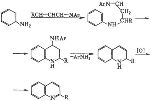
Одна из модификаций Скраупа реакции-использование основания Шиффа; в этом случае замыкание цикла сопровождается элиминированием амина вместо Н2О:

Синтез хинолинов из ароматич. аминов и глицерина в среде 85%-ной Н3РO4 наз. модификацией Йейла.
Скраупа реакцию широко используют в препаративной практике, для получения фармацевтич. препаратов, фотосенсибилизаторов и др. Р-ция открыта 3. Скраупом в 1880.
Лит.: Манске Р., Кулка М., в сб.: Органические реакции, пер. с англ., сб. 7, М., 1956, с. 100-145; Общая органическая химия, пер. с англ., т. 8, М., 1985, с. 198-201. Г. И. Дрозд.