Скраупа реакция
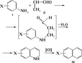
Скраупа реакция, синтез хинолина (III), его аналогов и производных взаимодействием анилина (1), соответственно его аналогов и производных, с глицерином в присутствии дегидратирующего агента (обычно серной или фосфорной кислоты) и окислителя (чаще всего нитробензола или его производного, соответствующего взятому производному анилина). Под действием дегидратирующего агента глицерин превращается в акролеин (II), который и участвует в основной реакции:

(X — органический радикал, галоген, —NO2 или другая группа).
Реакция открыта З. Х. Скраупом в 1880; применяется в лабораторной практике и в промышленности для синтеза фармацевтических препаратов и фотосенсибилизаторов.
*Подобраны с помощью LLM, верифицированы, но возможны неточности.
Ещё по теме
Скраупа реакция — механизм и применение
Хинофталоновые красители — свойства и применение
Реакция Робинсона — Шепфа
Хиноксалин — характеристики и применение
Крёнке реакция — получение альдегидов
Кнорра реакция — механизм и модификации
Крапплак — свойства и применение ярко-красного пигмента
Химотрипсин — функции и применение фермента
Реакции Рашига — методы синтеза гидразина и фенола
Кэрролла — Каймела реакция — механизм и применение
Хинолин и бензпиридин — свойства и применение
Хризофенин — применение и токсическое действие
Лабораторный синтез N-бромэтилфталимида
Производные ксантина — методы обнаружения и применение
Кижнера реакция — особенности и применение
Хинолин — основные свойства и характеристики
Дополнения к описанию реакции Скраупа: