Кижнера реакция

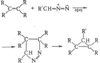
КИЖНЕРА РЕАКЦИЯ, получение замещенных циклопропанов термич. расщеплением пиразолинов, образующихся при взаимод. a,b-ненасыщенных альдегидов или кетонов с гидразином:
361_380-62.jpg
Р-цию обычно проводят в присут. КОН и платинированной глины или асбеста при 200-230 °С. В качестве катализаторов также могут применяться Na2HPO4, хинолин, три-этаноламин. Общий выход циклопропанов 50-70%. По Кижнера реакции можно получать циклопропаны, содержащие алифатич., ароматич., алициклич. и гетероциклич. заместители, напр.:
361_380-63.jpg
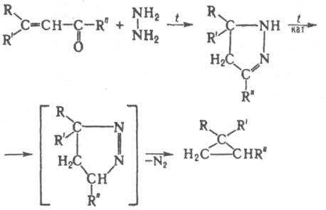
Р-ция, подобная Кижнера реакции,-образование циклопропанов в результате присоединения алифатич. диазосоединений к олефинам с послед. термич. расщеплением образовавшихся пиразолинов (р-ция Бухнера):
361_380-64.jpg
Р-ция открыта Н.М. Кижнером в 1912. Лит.: Гетероциклические соединения, под ред. Р. Эльдсрфилда, пер. с англ., т. 5. М., 1961, с. 61, 83; Jones W. M., Wun-Ten Tai, :J. Org. Chem.:, 1962, v. 27, N4, p. 1324 28; Jarboe С. Н., в кн.: Pyrazoles. Pyrazolines. Indasoles and condensed rings, ed. by A. Weissberger, N. Y., 1967, p. 209. К. В. Вацуро.

Комментарии*

Дополнения к описанию реакции Кижнера:

  • Механизм реакции включает образование пиразолина (1-пиразолина) в результате реакции гидразона, полученного из α,β-ненасыщенных карбонильных соединений и гидразина, с последующим его термическим разложением с выделением молекулы азота.
  • Современное применение реакции связано с синтезом циклопропановых фрагментов в сложных органических молекулах, включая природные соединения и фармацевтические субстанции.
  • Важным ограничением является требование к пиразолину иметь водород у атома углерода в положении 3 для успешного протекания реакции.
  • Реакция представляет исторический интерес как один из первых методов направленного синтеза циклопропанов и является примером синтеза карбоциклов из гетероциклических предшественников.
*Подобраны с помощью LLM, верифицированы, но возможны неточности.
Синонимы/примеры:* Реакция Кижнера; Реакция Кижнера-Вольфа
*подобраны ИИ, возможны неточности