Штреккера реакции

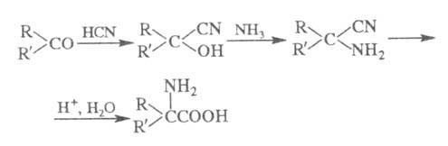
ШТРЕККЕРА РЕАКЦИИ, 1) получение a-аминокислот из альдегидов или кетонов действием NH3 и HCN с послед. гидролизом образующихся6026-52.jpg-аминонитрилов (т. наз. синтез Штреккера):

6026-53.jpg

В р-цию вступают алифатич., алициклич. и ароматич. альдегиды и кетоны. Если вместо NH3 использовать первичные или вторичные амины, то образуются N-замещенные6026-54.jpg-аминокислоты. Штреккера реакцию осуществляют последоват. смешением исходных реагентов (к карбонильному соед. добавляют NH3, а затем HCN - классич. вариант Штреккера реакции), введением всех трех реагентов в р-цию одновременно или превращением карбонильного соед. на первой стадии в циангидрин; иногда последний вариант наз. модификацией Тимана;

6026-55.jpg

Вместо HCN используют также NaCN в фосфатном буферном р-ре, (CH3)3SiCN в присут. катализаторов (А1С13, ZnI2), смесь MCN (M = Na, К) с NH4C1 (Зелинского-Стадникова реакция).
Карбонильные соед. могут вводиться в Штреккера реакцию в виде бисульфитного производного; в нек-рых случаях a-диалкиламинонитрилы можно получать с высоким выходом действием HCN или водного р-ра NaCN на соли иминов.
Получение6026-56.jpg-аминонитрила обычно ведут при умеренной т-ре (20-50 °С) в р-рителе [в случае использования HCN или (CH3)3SiCN - в диэтиловом эфире или бензоле; при применении др. цианидов - в воде]. Нагреванием с соляной к-той a-аминонитрил превращается в6026-57.jpg-аминокислоту. Выходы достигают 70-80%. Осн. побочные продукты - олигомеры.

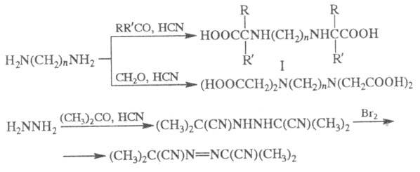
Из алкилендиаминов в условиях Штреккера реакции образуются соед. ф-лы I или алкилендиаминотетрауксусные к-ты, из гидразина получают азосоед., напр.:

6026-58.jpg

Предполагают, что в Штреккера реакции на промежут. стадии образуются азометины, присоединение к к-рым HCN приводит к6026-59.jpg-аминонитрилам.
Штреккера реакцию используют в пром-сти и лаб. практике для получения метионина, аланина, валина и др. Р-ция открыта А. Штреккером в 1850.

Лит.: Mapч Дж., Органическая химия,пер. с англ., т. 3, М., 1987, с. 410-11.

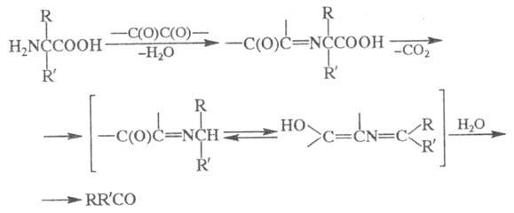
2) Превращение6026-60.jpg-аминокислот в альдегиды или кетоны под действием6026-61.jpg-дикарбонильных соед. (в т. ч. циклических):

6026-62.jpg

Образующиеся альдегид или кетон содержат на один атом С меньше, чем исходная6026-63.jpg-аминокислота.
Р-цию проводят в р-рителе (напр., в водном глицерине) при умеренном нагревании или без р-рителя при 180-220 С. Выходы альдегидов или кетонов ок. 60%.
Осн. побочный процесс - олигоконденсация карбонильных и аминосоединений.
6026-64.jpg -Аминокислоты м. б. также превращены в альдегиды или кетоны под действием окислителей3, Н2О2, Ag2O, персульфатов, N-бромсукцинимида, надкислот и др.).
Штреккера реакцию используют в лаб. практике, она открыта А. Штреккером в 1862.

Лит.: Общая органическая химия,пер. с англ., т. 4, М., 1983, с. 243-44.

3) Получение солей алифатич. сульфокислот взаимод. алкилгалогенидов с щелочными сульфитами

RHal + M2SO36026-65.jpgRSO3M

Hal = Cl, Br, I; M = К, Na, NH4

В р-цию вступают первичные и вторичные алкилгалогениды, галогензамещ. к-ты, спирты и кетоны; третичные алкилгалогениды дают в осн. олефины. наиб. легко реагируют первичные алкилиодиды и алкилбромиды. Р-цию проводят в р-рителе (напр., Н2О, СН3ОН) при натр. Выходы первичных алкилсульфокислот 70-90%, вторичных - 20-25%. Осн. побочные продукты - олефины и продукты их дальнейших превращений. Р-ция открыта в 1868.

Лит.: Джильберт Э., Сульфирование органических соединений, пер. с англ., М., 1969, с. 129-36.

Г. И. Дрозд.

Синонимы/примеры:* Реакция Штреккера; Реакция Штреккера-Зелинского
*подобраны ИИ, возможны неточности