Способы получения
1. Получение из галоидных алкилов
Наиболее общим способом является получение спиртов из галоидных соединений обменом атомат галоида на гидроксил:

Этим способом можно получать спирты первичные, вторичные и третичные в зависимости от строения радикала СnН2n+1
Иногда для получения спирта из галоидного алкила сначала получают сложный эфир уксусной кислоты взаимодействием галоидного алкила с уксуснокислым серебром, например

а затем омылением сложного эфира получают спирт:

Можно получать спирты, исходя из галоидных алкилов, окислением магнийорганических соединений. Промежуточно образуются перекисные соединения

далее превращающиеся в спирты:

2. Присоединение элементов воды к этиленовым углеводородам (гидратация)
Например:

Реакция происходит при нагревании этиленовых углеводородов с водой или водяным паром в присутствии таких веществ, как минеральные кислоты (в первую очередь серная и фосфорная), окись алюминия, хлористый цинк и др. Эти вещества действуют как катализаторы, т. е. они оказываются в конце реакции неизменными. Однако с серной кислотой образуется вполне определенный промежуточный продукт, называемый этилсерной, или серновинной, кислотой:

Этилсерная кислота реагирует с водой, образуя спирт и серную кислоту:

Лишь сам этилен дает при этом первичный спирт. Гомологи этилена образуют вторичные или третичные спирты.
3. Действие азотистой кислоты на амины
Спирты можно получить действием азотистой кислоты на первичные амины, причем в зависимости от строения радикала получается первичный, вторичный или третичный спирт. Иногда наряду со спиртами получаются непредельные углеводороды в значительном или даже преобладающем количестве.
4. Восстановление альдегидов или органических кислот
При этом получаются первичные спирты, например:

или

Чаще восстанавливают не самые кислоты, а их хлорангидриды, ангидриды или сложные эфиры. Особенно часто применяется восстановление сложных эфиров, причем для получения водорода в момент выделения используют кипящий спирт и металлический натрий (Буво). В последнее время вместо натрия для этой цели широко применяется литийалюминийгидрид LiAlH4.
В технике большие количества первичных спиртов готовят восстановлением альдегидов, получаемых путем оксосинтеза.
5. Восстановлением кетонов получаются вторичные спирты, например:

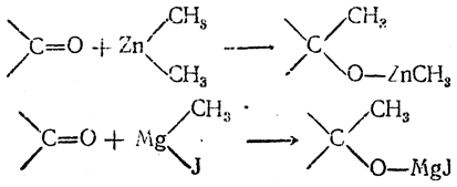
6. Действие металлоорганических соединений на карбонилсодержащие соединения
Спирты образуются при многочисленных реакциях металлоорганических соединений с различными соединениями, содержащими карбонильную группу >С=О. Подбирая карбонилсодержащие вещества соответствующего строения, можно получать как первичные спирты, так и вторичные и третичные. Получение спиртов действием цинкдиалкилов на разные карбонилсодержащие соединения открыли и разработали А. М. Бутлеров и его ученики. Поэтому такие реакции называют их именами.
Эти реакции имели большое историческое значение. Именно таким путем А. М. Бутлеров впервые получил третичные спирты

строение которых он разъяснил на основании созданной им теории строения. Позднее Барбье, и особенно его ученик — Гриньяр, показали, что гораздо легче получать и удобнее использовать смешанные магнийорганические соединения (реакции Гриньяра).
Общая схема реакций состоит в присоединении карбонильной группой >С=О молекулы металлоорганического соединения так, что радикал (алкил) присоединяется к атому углерода, а остальная часть молекулы металлоорганического соединения — к атому кислорода:

При разложении водой образовавшихся продуктов получаются спирты:

Карбонильная группа содержится в альдегидах, кетонах, кислотах и в различных производных кислот. Так как простейший альдегид — муравьиный, или формальдегид, имеет строение

а в остальных альдегидах и в кетонах атомы водорода замещены на углеводородные радикалы (один — у альдегидов, два — у кетонов)

то в качестве окончательного продукта приведенных выше реакций из муравьиного альдегида получаются первичные спирты (В. Е. Тищенко), из остальных альдегидов — вторичные спирты (реакция Е. Е. Вагнера), из кетонов — третичные спирты (реакция А. М. Зайцева).
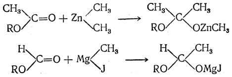
Если взять сложные эфиры муравьиной или какой-либо иной карбоновой кислоты

то действие на них металлоорганических соединений протекает в две фазы, из которых первая тождественна изображенной выше, например:

Во второй фазе происходит обмен остатка RO на алкил металлоорганического соединения:

При разложении водой получающихся соединений в случае эфиров уксусной и высших кислот, а также при использовании в качестве исходных веществ хлорангидридов этих кислот образуются третичные спирты (реакция А. М. Бутлерова). В случае эфиров муравьиной кислоты получается вторичный спирт (реакция А. М. Зайцева).
7. Синтез высших спиртов из низших
При нагревании спиртовых растворов алкоголятов щелочных металлов происходит синтез высших спиртов из низших. Так, например, из алкоголята пропилового спирта получается так называемый дипропиловый алкоголь. Реакция выражается уравнением:

Как показал В. В, Марковников, эта реакция происходит и при нагревании спиртов с твердым едким кали.
По-видимому, протеканием аналогичных реакций объясняется получение высших спиртов из смеси окиси углерода с водородом в присутствии катализаторов — металлов группы железа. Первым продуктом здесь является метиловый спирт, из которого затем образуются высшие спирты:

Получающаяся таким образом смесь (синтол) содержит, кроме большого количества предельных спиртов, также альдегиды, кетоны и кислоты, являющиеся, вероятно, продуктами дальнейшего превращения спиртов (Ф. Фишер). При определенных условиях из окиси углерода и водорода этим путем получают н-пропиловый и изобутиловый спирты.
Недавно предложен метод синтеза высших спиртов (С8 и выше) при помощи алюминийорганических соединений (К. Циглер):

Алюминийорганические соединения могут быть легко получены из олефинов в присутствии водорода.
Методом Циглера можно получать чистые первичные спирты.