Гаттермана синтез

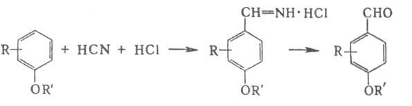
ГАТТЕРМАНА СИНТЕЗ, формилирование фенолов или их эфиров действием HCN и НС1 в присут. к-т Льюиса (гл. обр. А1С13 и ZnCl2) напр.:
1099-18.jpg

где R = H, Alk, CHO, COOR", NO2, Hal; R' = H, Alk.

Формильная группа вступает по отношению к OR' в пара-положение, а если это место занято, то в орто-положение.

Процесс проводят в эфире, хлорбензоле, о-дихлорбензоле или тетрахлорэтилене. Выходы до 80%.

При использовании NaCN в кач-ве реагента, генерирующего HCN, через суспензию цианида и А1С13 в р-рителе и избытке ароматич. соед. пропускают НС1, затем в реакц. смесь добавляют Н2О или этанол. Предполагается, что р-ция осуществляется по схеме:
1099-19.jpg

Кроме фенолов и их эфиров, в р-цию, подобную Гаттермана синтезу, вступают ароматич. углеводороды (бензол, антрацен и др.) и нек-рые гетероциклич. соед. (пиррол, фуран, тиофен и др.).

Р-ция открыта Л. Гаттерманом в 1898.

Модификация Адамса-использование Zn(CN)2. В этом случае при пропускании через реакц. смесь НС1 выделяется HCN и образуется ZnCl2, служащий катализатором. Используя эту модификацию, можно получать с выходами более 90% альдегиды из фенолов и их эфиров, а также повысить выход р-ций с ароматич. углеводородами. Модификация предложена Р. Адамсом в 1923.

Модификация Хинкеля-использование комплекса А1С13*2НС1 в хлорбензоле или дихлорэтане, что позволило формилировать многоядерные ароматич. углеводороды, напр. фенантрен. Модификация предложена Л. Кинкелем в 1936.

Литература

Мачинская И. В., в кн.: Реакции и методы исследования органических соединений, кн. 7, М., 1958, с. 307-65; Трюс У. Э., в кн.: Органические реакции, пер. с англ., сб. 9, М., 1959, с. 45-81; Органикум, пер. с нем., т. 1, М., 1979, с. 424-26; Общая органическая химия, пер. с англ., т. 2, М., 1982, с. 707-09. Я. А. Бумагин.