Робинсона-Шепфа реакция
РОБИНСОНА-ШЕПФА РЕАКЦИЯ (Робинсона синтез), получение тропинона и его гомологов циклоконденсацией диальдегидов с ацетондикарбоновой к-той и первичными аминами:

R=Alk(обычно CH3),CH2CH2OH; n=1-4
Р-цию обычно осуществляют добавлением водного р-ра диальдегида к смеси ацетондикарбоновой к-ты, CH3NH2 · НС1 и NaH2PO4 в воде; рН доводят до 5,5 и реакц. смесь выдерживают при комнатной т-ре. Выходы продуктов до 75%. Показано, что выходы заметно уменьшаются при замене группы СН3 в амине на др. алкил; р-ция не идет при R = С(СН3)3.
Аналогично диальдегидам реагируют 1,4- и 1,5-дикетоны. Гетероаналоги тропинона получают из диальдегидов общей ф-лы OCHCH2YCH2CHO(Y = S,Se).
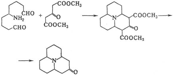
При использовании в условиях Робинсона - Шепфа реакции вместо диальдегида и амина аминодиальдегида с хорошими выходами образуются трициклич. кетоны, напр.:

Осн. трудности осуществления Робинсона - Шепфа реакции связаны с синтезом дикарбонильных соединений. Поэтому эффективной является модификация с применением алкоксидигидрофура-нов, к-рые при кислотном гидролизе образуют 1,4-дикарбо-нильные соединения. Последние без выделения используют для синтеза соед. тропанового ряда.
Робинсона - Шепфа реакция широко применяется в синтезе алкалоидов.
Р-ция открыта Р. Робинсоном в 1917, к-рый проводил ее в щелочном р-ре, К. Шепф в 1935 предложил синтез в мягких условиях при рН 5-9.
Лит.: Эльминг Н., в кн.: Успехи органической химии, т. 2, М., 1964, с. 62-112; Chapman О. L., Fugiel R. А., "J. Amer. Chem. Soc.", 1969, v. 91, № 1, p. 215-16; Stevens R. V.,Lee A. W. M., "J. Amer. Chem. Soc.", 1979, v. 101, № 23, p. 7032-35. К. В. Baцуpo.