Дикарбонильные соединения

ДИКАРБОНИЛЬНЫЕ СОЕДИНЕНИЯ, орг. соед., содержащие в молекуле две карбонильные группы С=О. К ним относятся диальдегиды, дикетоны, кетоальдегиды, альдегидо- и кетокислоты (и их производные) и т. п. Помимо св-в, характерных для карбонильных соед., дикарбонильные соединения проявляют специфич. св-ва, зависящие от взаимного расположения групп СО.
a-Дикарбонильные соединения (1,2-дикарбонильные соединения) RCOCOR'. Карбонильные группы обычно обнаруживают ярко выраженную электроф. реакц. способность. Для них характерна циклизация при действии бифункциональных нуклеофилов (напр., ур-ние 1) и соед. 3-валентного Р (2). Связь С—С между группами СО обычно сравнительно легко расщепляется, напр., при фотолизе (3) или действии нуклеофилов (4). Для a-диальдегида (глиоксаляa-кетоальдегидов характерна внутримол. Канниццаро реакция, для ароматич. a-дикетонов (бензилов) - бензиловая перегруппировка.
041_060-87.jpg
Осн. способы получения a-дикарбонильных соединений - окисление монокарбонильных соед. (5) или их a-замещенных производных, напр. ацилоинов (6), производных ендиолов (7), гликолей и др.; ароматич. a-дикетоны получают также из ароматич. соед. и оксалилхлорида по р-ции Фриделя - Крафтса.
041_060-88.jpg

Нек-рые a-дикарбонильные соединения, напр., метилглиоксаль СН3СОСНО, пировиноградная к-та СН3СОСООН, участвуют в обмене в-в в живых организмах. Диацетил обусловливает запах сливочного масла; его производное - диметилглиоксим применяется как аналит. реагент. a-Дикарбонильные соединения используют в орг. синтезе для получения гетероциклич. соед.
b-Дикарбонильные соединения (1,3-дикарбонильные соединения) RCOC(R:R':)COR'. Соед. с R: и(или) R': = Н - сравнительно сильные СН-кислоты. Для них характерна легкая енолизация с образованием цис-енолов (в хелатной форме с внутримол. водородной связью), реже -транс-енолов (см. Таутомерия):
041_060-89.jpg
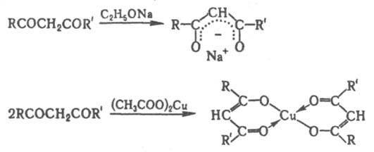
Наличие электроноакцепторных заместителей, напр., в случае полифтор-b-дикетонов, увеличивает кислотность кетоформы и способствует енолизации, а введение объемистых заместителей затрудняет ее. b-Дикарбонильные соединения легко образуют еноляты щелочных металлов, а с солями двух- и поливалентных металлов - прочные внутрикомплексные еноляты, содержащие хелатный цикл (см. b-Дикетонаты металлов), напр.:
041_060-90.jpg
Благодаря образованию енолятов b-дикарбонильные соединения в присут. оснований вступают в конденсации типа альдольной, р-ции Кнёвенагеля, Михаэля и т. п., легко алкилируются и ацилируются с образованием С- или О-производных (соотношение продуктов зависит от строения b-дикарбонильного соединения, природы основания и реагента, полярности р-рителя), напр.:
041_060-91.jpg
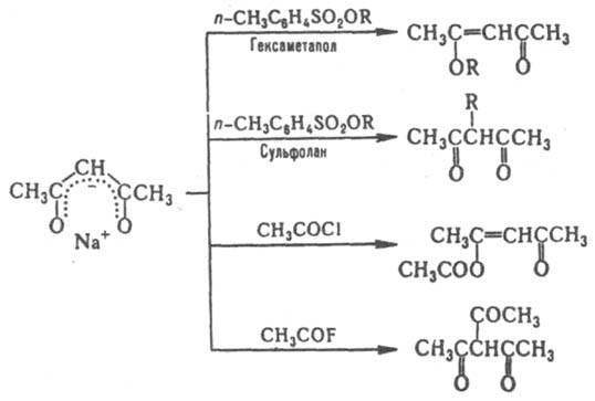
При действии избытка сильного основания на 1,3-дикарбонильные соединения, у к-рых имеются a- и g-атомы Н, образуются соли, содержащие дианионы этих дикарбонильных соединений; в этом случае атака электрофила направляется на g-атом С, напр.:
041_060-92.jpg
Под действием сильных оснований в жестких условиях расщепляется связь С—С ("кислотное расщепление" ацетоуксусного эфира). Взаимод. b-дикарбонильных соединений с бифункциональными нуклеофилами получают пяти-, шести- или семичленные гетероциклы, напр.:
041_060-93.jpg
b-Дикарбонильные соединения получают гл. обр. Клайзена конденсацией, а также аналогичными р-циями из производных енолов, напр.:
041_060-94.jpg
b-Дикарбонильные соединения широко применяют в орг. синтезе (см., напр., Ацетоуксусный эфир) для получения лек. ср-в, красителей и др. b-Дикетоны используют для разделения и анализа РЗЭ и актиноидов. См. также Ацетилацетон, Гексафторацетилацетон, Индандионы, Теноилтрифторацетон, Трифторацетилацетон.
g-Дикарбонильные соединения (1,4-дикарбонильные соединения)
041_060-95.jpg
При дегидратации, действии H2S или NH3 образуют соотв. замещенные фураны, тиофены или пирролы:
041_060-96.jpg
(X = О, S, NH). Внутримол. р-ция типа кротоновой конденсации приводит к замещенным циклопентенонам:
041_060-97.jpg
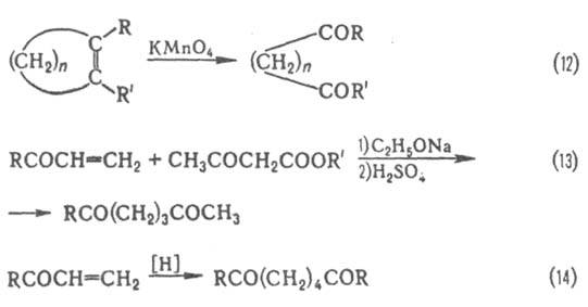
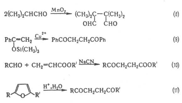
g-Дикарбонильные соединения получают окислит. димеризацией карбонильных соед. (напр., ур-ние 8) или соответствующих производных енолов (9), присоединением альдегидов к a, b-ненасыщенным карбонильным соед. (10), гидролизом замещенных фуранов (11).
041_060-98.jpg
Используют g-дикарбонильные соединения в орг. синтезе, напр., для получения жасмона, простагландинов, пиретроидов, гетероциклич. соединений.
d- и e-Дикарбонильные соединения (1,5- и 1,6-дикарбонильные соединения)
041_060-99.jpg (п = 3,4).
При значит. удалении одной карбонильной группы от другой их взаимное влияние уменьшается; по реакц. способности дикарбонильные соединения с такими группами не отличаются от монокарбонильных соед., однако появляется возможность образования циклов, напр.:
041_060-100.jpg
Эти дикарбонильные соединения образуются, напр., при окислит. расщеплении ненасыщенных алициклич. соед. (ур-ние 12).d-Дикарбонильные соединения получают также по р-ции Михаэля (13), а e-дикарбонильные соединения - гидродимеризацией a,b-ненасыщенных карбонильных соед. (14):
041_060-101.jpg
Используют d- и e-дикарбонильные соединения в орг. синтезе. Лит.. Строение и таутомерные превращения b-дикарбонильных соединений, Рига, 1977; Общая органическая химия, пер. с англ., т. 2, М., 1982, с. 558-62, 624-37, 642-43, 756, 815-18; там же, т. 4, М., 1983, с. 195-232; Пешкова В. М., Мельгамова Н. В., b-Дикетоны, М., 1986; Rio G., Lecas-Nawrocka A., "Bull. Soc. chim. France", 1976, № 1/2 pt. 2, p. 317-26; Cooper A. J. L., Ginos J.Z., Meister A., "Chem. Rev.", 1983, v. 83, № 3, p. 321-58. E. М. Рохлин.