Кетоноальдегиды (альдегидокетоны). Метилглиоксаль, формилацетон, левулиновый альдегид
Альдегидная и кетонная карбонильные группы, подобно двум карбонилам в дикетонах, могут по отношению друг к другу находиться в положении 1,2 (или α), в положении 1,3 (или β) и т. д. Альдегидокетоны можно также рассматривать как альдегиды соответствующих кетонокислот.
Метилглиоксаль СН3—СО—СНО (альдегид пировиноградной кислоты) является простейшим представителем α-кетоноальдегидов. Он был получен действием разбавленной серной кислоты на изонитрозоацетон, являющийся его моноксимом, окислением озоном окиси мезитила, нагреванием с кислотами диоксиацетона или глицеринового альдегида и рядом других способов. Метилглиоксаль образуется из многих моносахаридов при действии аммиака, соды и других солей слабощелочного характера. Это было доказано получением озазона метилглиоксаля (т. пл. 148°) из продуктов такой обработки моносахаридов.
Нейберг и его ученики показали важную роль метилглиоксаля в биохимических превращениях углеводов. Так, метилглиоксаль образуется при спиртовом и молочнокислом брожениях, при действии на углеводы одной из бактерий кишечника (Bacillus coli), а также при действии некоторых микроорганизмов на глицерин.
В безводном состоянии метилглиоксаль представляет собой желтую подвижную жидкость; он закипает при 72° с образованием желто-зеленых паров, но при этом полимеризуется. Метилглиоксаль дает бесцветные водные растворы; в растворе он вступает в реакции, свойственные альдегидам. Полимер метилглиоксаля (С3Н4О2)3 также медленно растворяется в воде, образуя растворы с теми же свойствами. Из метилглиоксаля можно получить диоксим HON=O(CH3)—CH=NOH с т. пл. 153°, дающий нерастворимые комплексы с солями никеля.
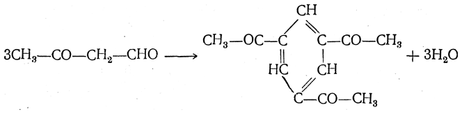
Формилацетон СН3—СО—СН2—СНО является представителем β-кетоноальдегидов. В виде натриевой соли таутомерного енола — оксиметиленацетона (ацетовинилового алкоголя) СН3—СО—CH=CHONa он получается конденсацией ацетона с муравьиным эфиром по Клайзену:

В свободном состоянии формилацетон неизвестен, так как юн тут же полимеризуется в триацетилбензол:

Левулиновый альдегид СН3—СО—СН2—СН2—СНО, представитель γ-кетоноальдегидов получается при окислении озоном аллилацетона, а также каучука. Он представляет собой легкоподвижную жидкость с запахом энантола, кипящую при 187°; вступает в реакции, свойственные альдегидам и кетонам.