Мезитила окись
МЕЗИТИЛА ОКИСЬ (4-метил-3-пентен-2-он, изопропили-денацетон) (СН3)2С=СНСОСН3, мол.м. 98,14; бесцв. жидкость с медовым запахом; т.пл. — 52,8°С, т.кип. 129,8°С; d420 0,8653; nD20 1,4440; хорошо раств. в орг. р-рителях, плохо-в воде (3,4%); образует азеотропную смесь с водой (т. кип. 91,8 °С, 5,2% мезитила окиси по массе). Содержит ок. 6% таутомерного спирта (СН3)2С=СНС(ОН)=СН2.
Мезитила окись присоединяет по двойной связи галогены, HCN, НСlО, амины, воду и др., напр.:

В присут. оснований реагирует с малоновым эфиром с образованием димедона. Вступает в р-цию Фриделя - Крафтса:

Восстановление Li в жидком NH3 приводит к метилизобу-тилкетону и метилизобутилкарбинолу, а восстановление на ртутном катоде-к 4,4,5,5-тетраметил-2,7-октандиону [СН3СОСН2С(СН3)2]2.
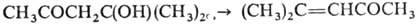
При нагр. с разбавленными к-тами и щелочами гидроли-зуется в ацетон. Присоединяет 2 молекулы NaHSO3-пo двойной связи и по СО-группе. В присут. СаО или ВаО самоконденсируется:

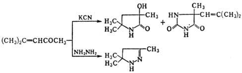
При кипячении с водно-спиртовым р-ром KCN в присут. (NH4)2CO3, а также с гидразином образует гетероциклы:

В пром-сти мезитила окись получают дегидратацией диацетонового спирта в присут. иода, минер. к-т, хлоридов и бромидов железа и др. при 100-120 °С и 100 кПа с выходом 95%:

Мезитила окись получают также прямой конденсацией ацетона в присут. минер. к-т, катионообменных смол, Аl2О3 и др.
Идентифицируют мезитила окись по ее производным: 2,4-динитро-фенилгидразон имеет т.пл. 205-206°С; оксим существует в двух формах-лабильная а-форма, т. кип. 84°С/11 мм, устойчивая р-форма, т. пл. 49 °С, т. кип. 92 °С/9 мм; семи-карбазон имеет также две формы: а, т.пл. 164°С, и (3, т.пл. 133-134°С; а-форма переходит в р при нагр. гидрохлорида, а b-форма-в a при действии щелочи.
Применяют мезитила окись как р-ритель эфиров целлюлозы и поливиниловых смол; в качестве полупродукта в произ-ве лек. ср-в, инсектицидов, высыхающих масел; как экстрагент для актиноидов (торий, уран и др.) и при флотации руд.
При длит. хранении мезитила окись образует пероксиды; для ее стабилизации используют диизопропиламин.
Мезитила окись раздражает кожу. ЛД50 (для крыс) 1,12 мг/кг. Т. всп. 32,2 °С (в открытом тигле).
Исп. литература для статьи «МЕЗИТИЛА ОКИСЬ»: Kirk-Othmer encyclopedia, 3 ed., v. 13, N.Y., p. 916-18; Ullmanns Encyclopadie, 4 Aufl., Bd 14, Weinheim, 1977, S. 209-10. Л.А. Яновская.