Бензиловая перегруппировка

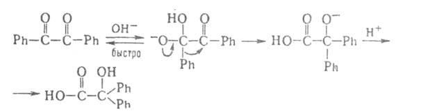
БЕНЗИЛОВАЯ ПЕРЕГРУППИРОВКА, внутримолекулярная перегруппировка 1,2-дикетонов в1050-18.jpgгидроксикислоты под действием щелочей или алкоголятов. При этом из бензила (на примере этого соед. перегруппировка впервые была обнаружена) образуется бензиловая, или дифенилгликолевая, к-та:
1050-19.jpg

В случае использования алкоголятов образуются эфиры гидроксикислот. Перегруппировка широко применяется для сужения циклов1050-20.jpgдикетонов, напр.:
1050-21.jpg

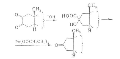
Эта р-ция позволяет, в частности, осуществлять модификацию стероидов, напр.:
1050-22.jpg

В нек-рых случаях в результате бензиловой перегруппировки и послед. обработки ее продуктов H2SO4 получают кетоны, содержащие на один атом С меньше, чем исходные:
1050-23.jpg

Литература

Общая органическая химия, пер. с англ., т. 2, М., 1982, с. 673-74; SelmanS., EasthamJ., "The Chemical Society Quarterly Reviews", 1960, v. 14, № 3, p. 221-35. H.B. Лукашев.

Комментарии*

Бензиловая перегруппировка

  • Механизм: протекает через образование енолятного аниона с последующим 1,2-миграцией заместителя с карбонильного углерода на соседний карбонильный атом, что приводит к образованию стабилизированного карбаниона, который после протонирования дает α-гидроксикислоту.
  • Стереохимия: мигрирующая группа сохраняет свою конфигурацию, что делает реакцию стереоспецифичной.
  • Применение: используется в синтезе природных соединений, фармацевтических препаратов и в стереохимических исследованиях.
  • Особенности: может сопровождаться побочными реакциями, такими как обратная бензиловая перегруппировка или фрагментация, в зависимости от условий и структуры субстрата.
*Подобраны с помощью LLM, верифицированы, но возможны неточности.