Эльбса реакции

ЭЛЬБСА РЕАКЦИИ, 1) получение двухатомных фенолов действием персульфатов на одноатомные фенолы в щелочной среде (окисление по Эльбсу, персульфатное окисление), напр.:

6039-45.jpg

Электронодонорные заместители ускоряют, а электроноакцепторные замедляют р-цию. Вторая группа НО обычно вступает в пара-положение (если оно занято, то образуются opmo-дифенолы, но выход резко снижается). Гладко в Эльбса реакцию вступают крезолы, n-галоген-, о- и n-нитрофенолы, м-гидроксибензальдегид и м-гидроксибензойная к-та. Окисление двухатомных фенолов часто сопровождается разрушением ароматич. ядра. Если одну из групп НО предварительно проалкилировать, то р-ция протекает обычным образом.
6039-46.jpg -Нафтол и его производные дают с хорошими выходами 1,4-дигидроксипроизводные,6039-47.jpg-нафтол и 2-гидрокси-З-нафтойная к-та образуют 1,2-дигидроксипроизводные, но с низкими выходами.
Р-цию обычно осуществляют добавлением на холоде насыщ. водного р-ра K2S2O8 или (NH4)2S2O8 к щелочному р-ру фенола с послед. подкислением. Использование смеси K2S2O8 и ацетата Pd позволяет вести прямое ацетоксилирование одноатомных фенолов. Выходы, как правило, не превышают 50%.
Осн. побочные продукты - изомерные дигидроксифенолы (характерны для р-ции замещенных фенолов), хиноны и продукты их дальнейшей деструкции.
В р-цию, подобную Эльбса реакции, также вступают гидроксипроизводные флавона, кумарина, нек-рых азотсодержащих гетероциклов, напр.:

6039-48.jpg

Механизм р-ции окончательно не выяснен. Предполагают, что она может осуществляться по свободнорадикальному механизму (следы Fe2+ в персульфате катализируют образование анион-радикала SO-4, к-рый атакует пара-положение фенолят-иона) или ионному (атака феноксид-аниона ионом6039-49.jpg и послед. перегруппировка образовавшегося аддукта).
Эльбса реакцию используют в препаративной практике; открыта К. Эльбсом в 1893.

Лит.: Sethna S., "Chem. Revs.", 1951, № 49, № 1, p. 91-101; Sheldon R., Koschi J., Metall-catalized oxidation of organic compounds, N. Y., 1981; Capdevielle P., Maumy M., "Tetrahedron letters", 1982, v. 23, № 15, p. 1573-76, 1577-80.

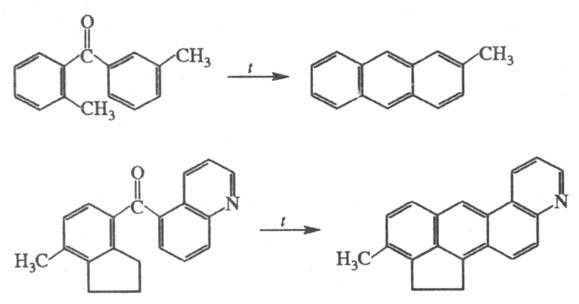
2) Термич. циклодегвдратация диарилкетонов, содержащих в орто-положении группы СН3 или СН2, с образованием конденсир. аромстич. углеводородов, напр.:

6039-50.jpg

Р-цию обычно осуществляют при 350-500 °С в течение неск. часов или суток до прекращения выделения Н2О. Выходы обычно не превышают 50%.
Осн. побочные процессы: миграция карбонильной группы и др. внутримол. перегруппировки; отщепление заместителей (Аlk, АlkО, Hal) из ароматич. ядра; гидро- и дегидрогенизация.
Механизм р-ции не выяснен. Полагают, что первоначально кетон переходит в енольную форму с образованием сопряженной системы связей; затем следует внутримол. присоединение др. ароматич. кольца с образованием производного дигидроантранола, к-рый подвергается дегидратации. Существуют и др. представления о механизме этой р-ции.
Р-цию циклодегидратации используют в препаративной практике как наиб. экономичный и быстрый способ синтеза нек-рых производных дибензо[а,h]антрацена, холантрена и динафтохризенов.
Р-ция открыта К. Эльбсом в 1884.

Лит.: Физер Л., в сб.: Органические реакции, пер. с англ., сб. 1, М., 1948, с. 163; Фьюзон Р., Реакции органических соединений, пер. с англ., М., 1966, с. 450-51.

Г. И. Дрозд.