Жасмон
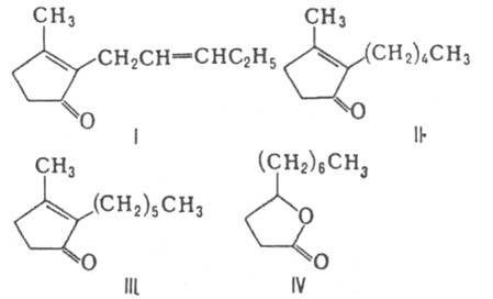
ЖАСМОН [3-метил-2-(2-пентенил)-2-циклопентен-1-он, ф-ла I], мол. м. 164,24. цис-Жасмон жидкость с сильным запахом жасмина, т. кип. 248 °С; d422 0,9437; nD22 1,4979; т. пл. 2,4-динитрофенилгидразона 121-122,5°С; раств. в этаноле и эфирных маслах, не раств. в воде. транс-Жасмон жидкость, запах несколько отличен от запаха цис-жасмона; т. кип. 142°С/23 мм рт. ст., nD20 1,4974; т. пл. 2,4-динитрофенилгидразона 128,5-130°С. В природе встречается лишь цис-жасмон, содержащийся в масле цветов жасмина (откуда его и выделяют), неролиевом, апельсиновом и др. эфирных маслах. Запахом жасмина обладает также дигидро-жасмон (3-метил-2-пентил-2-циклопентен-1-он, ф-ла II) - бесцв. жидкость; т. кип. 230°С; d415 0,9201; nD20 1,4810; т. пл. 2,4-динитрофенилгидразона 122-123°С; очень плохо раств. в воде, умеренно - в пропиленгликоле, раств. в этаноле и эфирных маслах. Дигидро-жасмон синтезируют из 2-октанола и акриловой к-ты или из гептаналя и метилвинилкетона с послед. циклизацией образующихся продуктов. Дигидро-жасмон используют в парфюмерии, но он не разрешен для ароматизации пищ. продуктов. ЛД50 2,5 г/кг (крысы, перорально).
Поскольку методы синтеза жасмона и дигидро-жасмона сложны, чаще применяется более доступный аналог дигидро-жасмона -2-гексил-3-метил-2-циклопентен-1-он (ф-ла III), также называемый "дигидро-жасмон": жидкость с резким запахом, при разбавлении напоминающим запах жасмина; т. кип. 100-105 °С/4-5 мм рт. ст.; d420 0,918-0,920; nD20 1,470-1,478; т. пл. семикарбазона 187-188 и 196°С; раств. в этаноле, не раств. в воде. Получают нагреванием ундекалактона IV или СН2=СН(СН2)8СООН с фосфорной, полифосфорной или др. к-тами. Т. всп. 85 °С, т. самовоспл. 264 °С, КПВ 0,72 3,35% по объему, температурные пределы взрываемости 105-140°С. Л. А. Хейфиц.
Синонимы/примеры:*
Жасмоновая кислота; (-)-Жасмон; (1R,2R)-3-Оксо-2-(2Z)-2-пентенилциклопентануксусная кислота
*подобраны ИИ, возможны неточности
Ещё по теме
Жасмон — свойства и применение
Диазометан — характеристики и применение
Диазометан — свойства и получение
Диоксан — характеристики и применение