Семикарбазоны
СЕМИКАРБАЗОНЫ, соед. общей ф-лы RR'C = =NNHCONHR:, где R - R: = Н, Alk, Аг, аралкил.
Семикарбазоны-твердые, хорошо кристаллизующиеся в-ва, как правило, с четкими т-рами плавления; практически не раств. в воде, раств. в низших спиртах, хорошо-в полярных орг. р-рителях, водных р-рах минер. к-т.
При нагр. с к-тами семикарбазоны разлагаются, легко гидрируются по связи C=N, при нагр. в присут. щелочей или алкоголятов щелочных металлов образуют углеводороды:

Получают семикарбазоны действием гидрохлорида семикарбазида или его производных на альдегиды или кетоны в присут. ацетата Na в водной (для водорастворимых соед.) или водно-спиртовой среде. Образование семикарбазонов катализируется к-тами и является обратимым (кислотный гидролиз используют для регенерирования карбонильных соединений из семикарбазонов). Аналогично протекает р-ция с замещенными семикарбазидами. Тиосемикарбазид дает тиосемикарбазоны.
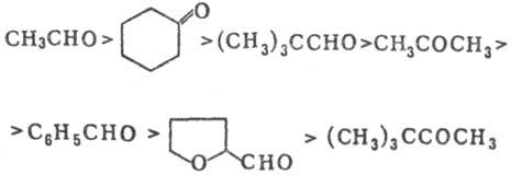
Активность карбонильных соед. при получении семикарбазонов уменьшается в ряду:

Это свидетельствует о влиянии на скорость р-ции как полярных, так и стерич. факторов. Скорость гидролиза семикарбазонов изменяется в др. последовательности, что дает возможность путем быстрой обработки смеси карбонильных соед. се-микарбазидом выделять семикарбазон наиб. активного карбонильного соед., а при длит. процессе-семикарбазон, более устойчивый к гидролизу.
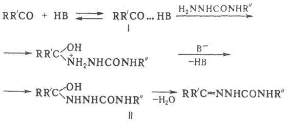
Роль катализатора (к-ты НВ) при получении семикарбазонов сводится к образованию комплекса ф-лы I, к-рый и является активным субстратом (поэтому сильные к-ты не эффективны как катализаторы). При взаимод. этого комплекса со своб. семикарбазидом, частично образующимся в результате р-ции его гидрохлорида с ацетатом Na, получают соединения ф-лы II; последние легко теряют воду, превращаясь в семикарбазоны:

Р-ция имеет ограничения. Так, при взаимод. пергалоген-карбонильных соед. (напр., хлораля, гексафторацетона) с семикарбазидами образующиеся соед. ф-лы II не дегидратируются в условиях р-ции. a,b-Непредельные альдегиды и кетоны в зависимости от условий р-ции дают семикарбазоны (ур-ние 1), семикарбазидосемикарбазоны (2) либо пиразолины (3). b-Галоген- и a-аминокетоны образуют соответствующие пиразолины (4), а производные b-кетокислот-пиразолоны (5):

Семикарбазоны используют в аналит. и препаративной химии для идентификации и выделения в чистом виде альдегидов и кетонов, а также в качестве лек. препаратов. Семикарбазон 5-нитрофурфурола (фурацилин) - антисептик, тиосемикарба-зон n-ацетамидобензальдегида (тибон)-противотуберкулезное ср-во.
Лит.: Гринштейн В. Я., "Докл. АН СССР", 1962, т. 147, № 5, с. 1083-85; Royals E. E., Advanced organic chemistry, 1956, p. 660; Chemistry of carbon compounds, ed. by E. Rodd, v. 1, pt A, Amst., 1951, p. 526, 536; v. 1, pt B, Amst, 1952, p. 918. Г.И. Дрозд.