Тиосемикарбазиды
ТИОСЕМИКАРБАЗИДЫ (гидразиды тионкарбаминовых кислот, аминотиомочевины), соед. общей ф-лы
(R-H, одинаковые или разл. алкил, алкенил, арил), производные тиосемикарбазида NH2NHC(S)NH2; бесцв. кристаллы, нек-рые тетра- и пента-замещенные-жидкости (см. табл.).
Тиосемикарбазиды, незамещенные по атому N-2 могут существовать в цвиттер-ионной форме или находиться с этой формой в таутомерном равновесии; положение равновесия определяется пространств. и электронным влиянием заместителей:

Тиосемикарбазиды-слабые основания; образуют соли, а также комплексные соед. с металлами. Вступают в хим. р-ции в качестве нуклеофилов; реакц. центры при этом-атомы S или N. Наиб. важная р-ция-взаимодействие тиосемикарбазидов, незамещенных по атому N-1, с альдегидами и кетонами с образованием кристаллич. тиосемикарбазонов, к-рые при восстановлении превращ. в замещенные тиосемикарбазиды, напр.:

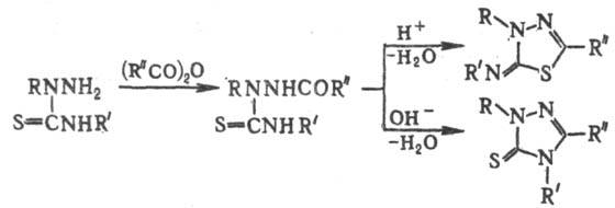
При ацилировании тиосемикарбазидов образуются N-ацилпроизводные; обычно ацильная группа направляется к незамещенным атомам N-1 или N-4. Дегидратация ацильных производных приводит к гетероциклич. соед., напр.:

При алкилировании тиосемикарбазидов образуются S-алкилпроизводные, напр.: NH2NHC(S)NH2 + CH3I : NH2NHC(SCH3)==NH. При действии на тиосемикарбазиды щелочного р-ра Н2О2 образуются семикарбазиды, при действии НМО2-тиомочевины.
При нагревании тиосемикарбазид разлагается:
2NH2C(S)NHNH2 : [NH2QS)NH]2 + N2H4
Тиосемикарбазиды получают взаимод. замещенных гидразина с изотио-цианатами; для синтеза 1,1-дизамещенных и 1,1,2-тризаме-щенных используют ацилизотиоцианаты:

Тиосемикарбазид м.б. получен взаимод. гидразинсулъфа-та с NH4SCN в присут. К2СО3 с послед. перегруппировкой промежут. тиоцианата гидразина (р-ция с замещенными гидразинсульфата приводит к смеси изомерных тиосемикарбазидов):

Для синтеза 1-замещенных и 1,4-дизамещенных тиосемикарбазидов используют способность нек-рых тиосемикарбазидов к р-циям элиминирования, напр.:

Р-ции замещенного гидразина с тиокарбамоилхлоридами или тетраалкилтиурамсульфидами приводят к 1,1,4,4-тетра-и 1,1,2,4,4-пентазамещенным тиосемикарбазидам, напр.:

При взаимод. алкилдитиокарбаматов с монозамещенны-ми гидразинами образуются тиосемикарбазиды, у к-рых заместитель в гид-разиновом фрагменте находится у атома N, связанного с тиокарбонильной группой:

Тиосемикарбазиды-реагенты для идентификации карбонильной группы в орг. соединениях. Их используют в неорг. анализе: 1-хинолил-4-аллил-тиосемикарбазид-для обнаружения Cd2+ в присут. ионов Сu; 1-фенил-тиосемикарбазид-для обнаружения Hg, Pt, Mo, Ru; 1-аллил-4-n-нитрофенил-тиосемикарбазид-чувствит. реагент на ионы Hg.
Лит.: Общая органическая химия, пер. с англ., т. 5, М., 1983, с. 661-73; Reid E.E., в сб.: Organic chemistry of bivalent sulfur, v. 5, N. Y., 1963, p. 194-246. А. А. Дудинов.