Метилвинилкетон
МЕТИЛВИНИЛКЕТОН (З-бутен-2-он) СН3СОСН=СН2, мол.м. 70,09; бесцв. жидкость с раздражающим запахом; т.кип. 81,4°С; d204 0,8636; пD20 1,4084; раств. в воде, этаноле, ацетоне, СН3СООН; образует азеотропную смесь с водой (т.кип. 75 °С, 88% метилвинилкетона) и тройную азеотропную смесь с водой и ацетоном (т.кип. 73-74 °С). Метилвинилкетон присоединяет по двойной связи галогеноводороды, спирты, тиолы, малоновый, ацето-уксусный, цианоуксусный эфиры, напр.:

Присоединяет Сl2 в водной среде с образованием СН3СОСНСlСН2ОН и СН3СОСНСlСН2Сl. Реагирует с разб. H2SO4 при комнатной т-ре:

При нагревании в присут. HgSO4 образует диацетил. Реагирует с ВrСН(СООС2Н5)2 в условиях межфазного катализа:

С ArN2Cl в присут. СиСl2 образует 4-арил-3-хлор-2-бута-ноны, с нитроалканами-4-нитрокетоны RCH(NO2)2COCH3.
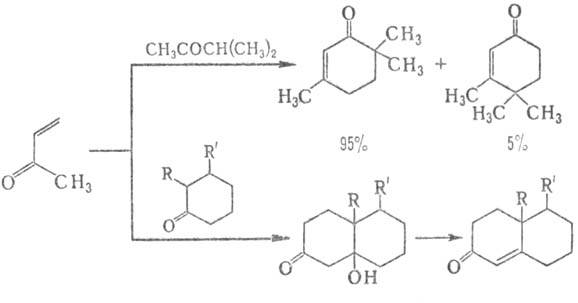
В присут. оснований метилвинилкетон конденсируется с кетонами, напр.:

Присоединяет по группе С=О ацетилен (главная стадия в промышленном синтезе витамина A), C6H5MgBr и др., напр.:

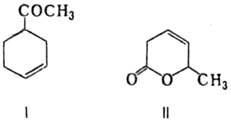
Вступает при 100°С в диеновый синтез с бутадиеном, образуя соед. ф-лы I; с кетеном при 70-75 °С дает соед. II. При хранении метилвинилкетон полимеризуется; в присут. инициаторов сополимеризуется с бутадиеном, изопреном, винил-ацетатом и др. В пром-сти метилвинилкетон получают гидратацией винилацетилена и конденсацией ацетона с формальдегидом. Он м. б. также получен окислением 1-бутена или метилвинилкарбинола, дегидрохлорированием 3-хлор-2-бутанона, перегонкой 4-гидрокси-2-бутанона в присут. глинозема, действием тетраметилолова на хлорангидрид акриловой к-ты в гексаметаполе и др.

Метилвинилкетон используют для модификации полимеров и получения сополимеров. Полимеры метилвинилкетона-прозрачные эластичные массы.
Метилвинилкетон обладает бактерицидным и фунгицидным действием, раздражает кожу. Т.всп. 0,7 °С; ПДК 0,1 г/м3.
Исп. литература для статьи «МЕТИЛВИНИЛКЕТОН»: Общая органическая химия, пер. с англ., т. 2, М., 1982, с. 616-19, 623, 635; Ullmanns Encyklopadie, 4 Aufl., Bd 14, Weinheim, 1977, S. 207-08.
Л. А. Яновская.