Канниццаро реакция
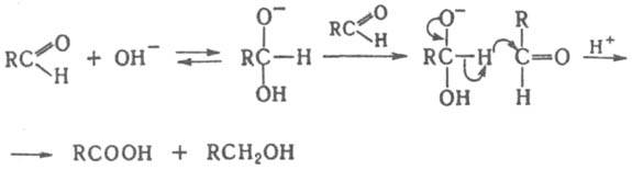
КАННИЦЦАРО РЕАКЦИЯ, окислит.-восстановит. диспропорционирование альдегидов под действием щелочи с образованием первичных спиртов и карбоновых к-т, напр.:
Альдегид обрабатывают конц. водным или водно-спиртовым р-ром щелочи при охлаждении или слабом нагревании. Катализаторы - разл. металлы (напр., Ag, Ni, Co, Сu) и их оксиды. В р-цию вступают альдегиды, не содержащие атом Н в a-положении к карбонильной группе. В противном случае предпочтительней идет не Канниццаро реакция, а альдольная конденсация. Электроноакцепторные заместители в кольце ароматич. альдегидов ускоряют процесс, а электронодонорные замедляют. Бензальдегиды с заместителями в орто-положениях в Канниццаро реакцию не вступают; о- и п-гидроксибензальдегиды реагируют только в присут. Ag. Р-цию с использованием двух разл. альдегидов (т. наз. перекрестная Канниццаро реакция) применяют гл. обр. для получения с большим выходом первичных спиртов из ароматич. альдегидов. В качестве восстановителя при этом обычно выступает формальдегид:
АrСНО + СН2О : АrСН2ОН + НСООН
При синтезе полигидроксиметилированных соед. формальдегид на первой стадии участвует в альдольной конденсации, а затем в качестве восстановителя в перекрестной Канниццаро реакции:
Для ароматич. альдегидов не исключена возможность участия в Канниццаро реакции анион-радикалов, образующихся в результате одноэлектронного переноса. Р-ция, подобная Канниццаро реакции, осуществляется при внутримол. диспропорционировании a-кетоальдегидов в присут. щелочей (перегруппировка Канниццаро):
Канниццаро реакцию применяют для пром. синтеза пентаэритрита, препаративного получения спиртов, карбоновых к-т и др. Р-ция открыта С. Канниццаро в 1853.
Литература
Гейсман Т. А., в сб.: Органические реакции, пер. с англ., сб. 2, М., 1950, с. 106-27; Ashby E. C., Coleman D. Т., Gamasa M. P., "Tetrahedron Letters", 1983, v. 24, N 9, p. 851-54. Е. Г. Тер-Габриэлян.
Синонимы/примеры:*
Реакция диспропорционирования альдегидов; Реакция альдольной конденсации; Реакция Канниццаро
*подобраны ИИ, возможны неточности
Ещё по теме
Канниццаро реакция — механизм и применение
Реакции окисления в органической химии
Реакция Розенмунда — особенности и применение
Станислао Канниццаро — жизнь и вклад в химию
Альдегиды — свойства и применение