Простагландины
ПРОСТАГЛАНДИНЫ (PG), биологически активные липиды, представляющие собой производные гипотетич. про-становой к-ты (ф-ла I) и различающиеся положением заместителей и двойных связей в циклопентановом кольце и боковых цепях.

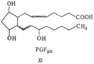
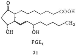
Молекулы простагландинов имеют скелет из 20 атомов С и содержат обычно в положении 15 гидроксигруппу. В зависимости от строения цикла и характера боковых групп в нем различают простагландины типов А, В, С, D, Е, F, H, I и J (типы колец приведены на ф-лах II-X; простагландины G, или PGG, отличаются от PGH наличием в положении 15 группы ООН вместо группы ОН). Цифры в ниж. индексе букв обозначают кол-во двойных связей в боковых цепях (у простагландинов типа F иногда в ниж. индексе ставится также греч. буква a или b, указывающая на ориентацию группы ОН в положении 9 относительно плоскости цикла -соотв. за или перед плоскостью цикла)-см., напр. ф-лы соед. РGF2a (XI) и PGE1 (XII).
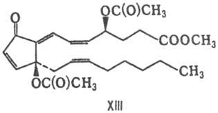
Простагландины и их производные обнаружены практически во всех клетках млекопитающих [впервые выделены из пузырьковидной (везикулярной) железы]. Найдены также у мн. др. позвоночных и беспозвоночных (напр., у птиц, лягушек, карпов, акул, крабов, коралловых полипов, у иек-рых насекомых) и в ряде растений. Их содержание в большинстве тканей невелико (неск. мкг/г и менее). Единств. богатый прир. источник простагландинов-горгониевые кораллы (Plexaura homo-malla), в к-рых содержание PGA2 и его производных достигает 1,5-2% от сухого веса. В кораллах найдены также биологически активные простагландиноподобные в-ва (простаноиды), отличающиеся от простагландинов расположением функц. групп, напр. клавулон I(ХIII) и пунагландин (XIV).











Индивидуальные простагландины-кристаллы или вязкие жидкости, плохо раств. в воде, раств. в большинстве орг. р-рителей. Для PGE1 т. пл. 115-116°С,
-61,6° (концентрация 0,56 г в 100 г ТГФ); для PGE2 т. пл. 66-68 °С,
-61° (концентрация 1 г в 100 г ТГФ); для PGF2a т. пл. 30-35 °С,
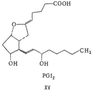
+ 23,5° (концентрация 1 г в 100 г ТГФ). Простагландины, содержащие в цикле оксогруппу, поглощают в УФ области (для простагландинов типов А, В, С и J lмакс. соотв. 218, 278, 234 и 216 нм). Для большинства простагландинов в кристаллич. состоянии характерна т. наз. щпилечная конформация с приблизительно параллельным расположением боковых цепей. Простагландины типов Е и D легко дегидратируются в водных р-рах при рН < 4 или рН > 8, причем в простагландинах типа D происходит миграция транс-двойной связи в положение 12-13. Бициклические простагландины нестабильны в водных р-рах. Так, для PGI2 (простациклина, XV) период полураспада в воде при рН 7,6 составляет 5-10 мин; он гидролизуется до 6-оксо-РGF1a.

Простагландины не накапливаются в тканях, а синтезируются в ответ на биол. стимул из полиненасыщ. жирных к-т: простагландины с одной двойной связью в боковых цепях-из эйкозатриеновой (ди-гомо-у-линоленовой), с двумя-из эйкозатетраеновой (ара-хидоновой), с тремя-из эйкозапентаеновой (тимнодоновой) к-т. Своб. эйкозаполиеновые к-ты (эндогенные из фосфоли-пидов или экзогенные) окисляются кислородом в присут. комплекса ферментов. Вначале циклооксигеназа катализирует стереоспецифич. присоединение пероксидных радикалов в положения 11 и 15 с послед. образованием перок-сидного мостика и циклопентанового кольца; образовавшийся PGG восстанавливается пероксидазой до более стабильного PGH - исходного соед. для биосинтеза простагландинов остальных типов, напр.:

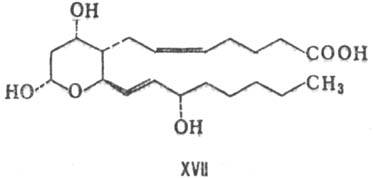
В ряде клеток из PGH2 образуется т. наз. тромбоксан (ТХ) типа А2 (ф-ла XVI)-очень нестабильное бициклич. соед. с высокой биол. активностью. В воде ТХА2 быстро гидролизуется (период полураспада 32 с, при 37 °С) с образованием стабильного ТХВ2-ф-ла XVII, т. пл. 95-96°С,
+ 57,4° (концентрация 0,26 г в 100 г этилацетата).
Все простагландины быстро инактивируются в организме и поэтому их концентрация в плазме кровимала (напр., 40-50 цг/мд для PGE), тогда как кол-во неактивных метаболитов, выделенных с мочой, может достигать 330 мкг в сутки. Катаболизм простагландинов начинается с их окисления НАД-зависимой 15-оксипрос-тагландиндегидрогеназой, обнаруженной в цитозоле мн. клеток млекопитающих (наиб. активность фермент проявляет в тканях легких, плаценты, печени, почек). Образующиеся 15-оксо-простагландины быстро восстанавливаются до 13,14-ди-гидропроизводных, к-рые далее подвергаются b- и w-окис-лению (b-окисление - окисление карбоксилсодержащих концов боковых цепей с отщеплением от них ацетила в виде ацетил-кофермента А, w-окисление - окисление атома С в положении 20 до карбоксильной группы). Известны ферменты, катализирующие взаимопревращения простагландинов (напр., PGE2 в PGF2a, PGA2 в PGC2).


Простагландины обладают разнообразной физиол. активностью, активны в низких концентрациях (10-9 М и менее). Они участвуют в поддержании гомеостаза организма (относит. динамич. постоянства внутр. среды и устойчивости осн. физиол. ф-ций), в воздействии на болевые рецепторы, регулировании иммунного ответа (напр., PGE1), в родовой деятельности (напр., PGE2 стимулирует роды, PGF2a снижает секрецию прогестерона, необходимого для имплантации в матке оплодотворенной яйцеклетки), поддерживают в открытом состоянии грудной проток плода во время беременности, вызывают сокращение (простагландины типа F) или расширение (простагландины типа Е) бронхов и трахеи, усиливают воспалит. р-цию, вызванную ожогами или др. повреждениями (способность аспирина ослаблять воспалит. состояние связана с тем, что он необратимо ингибирует циклооксигеназу). Кроме того, простагландины обусловливают повышение т-ры тела, оказывают седатив-ное и транквилизирующее действие, стимулируют секрецию ферментов поджелудочной железой, тормозят желудочную секрецию, способны опосредовать и модулировать действие др. биол. стимулов, простагландины разных типов могут действовать как синергисты или антагонисты. Так, баланс между уровнем простациклина PG12 (ингибирует агрегацию тромбоцитов, расширяет артерии) и тромбоцитарным ТХА2 (индуцирует агрегацию тромбоцитов, сужает артерии) - важный компонент гемостаза (поддерживает постоянный состав крови). Простагландины типов A, J и D оказывают противовирусное действие, а простагландины типов J, D и их А -производные проявляют высокую прртивоопухолевую активность. Вследствие чрезвычайно быстрого распада в организме простагландины действуют, в отличие от гормонов, вблизи места секреции.
Механизмы физиол. действия простагландинов разнообразны. Простагландины взаимод. со специфич. рецепторами цитоплазматич. мембран, что приводит к изменению (увеличению или уменьшению) концентрации внутриклеточных циклич. нуклеотидов (напр., циклич. аденозинмонофосфата), способны проникать через мембраны (включая гематоэнцефалич. барьер) и связываться С внутриклеточными компонентами, влияя, напр., на синтез ДНК. Нек-рые простагландины индуцируют перенос катионов через биол. мембраны, изменяя физиол. состояние клеток.
Полный хим. синтез простагландинов основан на стереоспецифич. конденсации промежут. продуктов, содержащих фрагменты молекулы простагландинов. Так, PGE2 с выходом 78% можно синтезировать по схеме:



Последняя стадия в получении PGE2-снятие защитных групп. Комбинируя промежут. продукты, получают разнообразные аналоги простагландинов, обладающие большей стабильностью, эффективностью и селективностью действия, чем природные.
Для количеств. определения простагландинов, тромбоксанов и их метаболитов в биол. образцах обычно используют хроматографию (тонкослойную, газо-жидкостную и высокоэффективную жидкостную) и масс-спектрометрию. Наиб. точность определения достигается сочетанием методов газо-жидкост-ной или высокоэффективной жидкостной хроматографии с масс-спектрометрией.
Препараты простагландинов и их производных используют в эксперим. и клинич. медицине для прерывания беременности и для родовспоможения, терапии язвы желудка, бронхиальной астмы и нек-рых сердечно-сосудистых заболеваний, коррекции гемостаза, как антикоагулянты при операциях с искусств. кровообращением и при гемодиализе. Нек-рые производные простагландинов используют для синхронизации полового цикла при искусств. осеменении в ветеринарии.
Лит.. Варфоломеев С. Д., Мевх А. Т., Простагландины молекулярные биорегуляторы, М., 1985; Домбровский В. В., Грачева Е. В., Кочергин П. М., "Успехи химии", 1986, в. 10, с. 1720-56; Prostaglandins. Biology and chemistry of prostaglandins and related eicosanoids, ed. P. B. Curtis-Prior, N.Y. [a.o.], 1988. B.B. Безуглов