Антикоагулянты

АНТИКОАГУЛЯНТЫ (от греч. anti- - приставка, означающая противодействие, и лат. coagulans, род. падеж coagulantis - вызывающий свертывание), в-ва, тормозящие свертывание крови. Применяются в медицине для предупреждения возникновения сгустков крови - тромбов, а также для быстрого прекращения их развития и роста.

По хим. структуре и механизму действия выделяют неск. групп антикоагулянтов. Одна из них - в-ва прямого быстрого действия. наиб. распространение из них получил гепарин, к-рый снижает свертывание крови при прямом взаимод. с ней. Механизм его действия основан гл. обр. на способности угнетать активность фермента тромбина, вызывающего переход растворимого в плазме фибриногена в нерастворимый фибрин и индуцирующего агрегацию тромбоцитов. Гепарин устойчив к действию мн. ферментов и хим. в-в, но с такими основаниями, как протамины, гистоны, полибрен и убиквин (см. Антигеморрагические средства), образует малодиссоциирующие соед. и теряет антикоагулянтную активность. Разрушение гепарина и его соли в организме происходит при участии фермента гепариназы. Выделяется гепарин через почки. Получены производные гепарина, обладающие более длит. действием, напр. препарат кальципарин, включающий Са-соль гепарина.

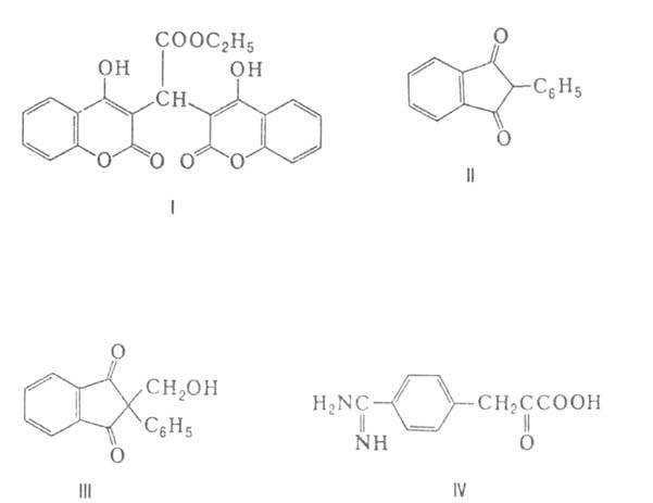
Другая группа антикоагулянтов - в-ва непрямого длит. действия: синтетич. производные 4-гидроксикумарина, напр. дикумарин, неодикумарин, или пелентан (ф-ла I), и фенилиндандиона - фенилин (II), омефин (III). Они угнетают синтез важных для свертывания крови факторов, напр. протромбина, действуют как антагонисты витамина К. Индукторы микросомалъных ферментов печени фенобарбитал и зиксорин ускоряют превращ. производных 4-гидроксикумарина в организме, снижают их антикоагулянтную активность.

1033-22.jpg

Особая группа антикоагулянтов-соед. РЗЭ (Y, Sc, La и лантаноидов), к-рые снижают свертывание крови как при прямом контакте с ней, так и при введении в организм. Механизм их действия изучен недостаточно. Соед. РЗЭ вводят в полимерные материалы, в результате чего последние приобретают противотромботич. или тромборезистентные св-ва. Эти материалы можно использовать для изготовления деталей аппаратов искусств, кровообращения.

Антикоагулянтное действие оказывают синтетич. низкомол. ингибиторы фермента тромбина. Среди них особенно активны производные амидина, в частности 4-амидинофенилпировиноградная к-та (IV).

Литература

Чазов Е. И., Лакин К. М., Антикоагулянты и фибринолитические средства, М., 1977; Лакин К. М. [и др.], "Фармакология и токсикология", 1981, № 4, с. 484-93: 1982. № 6. с. 89-101. К.М. Лакин.