Гепарин

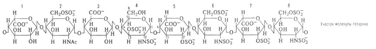
ГЕПАРИН (от греч. hepar- печень), протеогликан соединительной ткани, обладающий антикоагулянтным и гиполипидемич. действием. В молекуле нативного гепарина протяженные полисахаридные цепи присоединены к белковой цепи, структура к-рой полностью не выяснена. В узле углевод-белковой связи содержится фрагмент галактоза - галактоза-ксилоза, в к-ром ксилоза присоединена О-гликозидной связью к группе ОН остатка L-серина или L-треонина. Полисахаридные цепи молекулы гепарина (см. ф-лу) построены из чередующихся остатков1103-1.jpgD-глюкозамина и уроновой к-ты с 1 -> 4-связями между ними. Большинство остатков глюкозамина сульфатировано по аминогруппе и группе ОН в положении 6; небольшая часть аминогрупп м. б. ацетилирована, а О-сульфатные группы могут отсутствовать или занимать положение 3. Звенья уроновой к-ты представляют собой остатки1103-2.jpgL-идуроновой к-ты (гл. обр. в виде 2-сульфата) или эпимерные по С5 остатки1103-3.jpg-D-глюкуроновой к-ты.

Биол. активность гепарина обусловлена его углеводными цепями; при получении мед. препарата гепарина осуществляется их отщепление от белковой части молекулы. Выделенный поли-сахарид довольно устойчив к кислотному гидролизу, однако в кислой среде легко десульфатируется (в первую очередь у атомов N) и теряет антикоагулянтные св-ва.

Механизм действия гепарина обусловлен его способностью специфически связываться с антитромбином III, что резко повышает ингибирующее действие последнего по отношению к тромбину и др. протеазам, участвующим в свертывании крови. Для такого связывания необходима вполне определенная комбинация моносахаридных звеньев на достаточно протяженных участках полисахарида. Активному антикоагулянтному центру соответствует последовательность остатков 2-6, среди к-рых остатки 2, 3 и 4-минорные компоненты молекулы.

Гепарин вырабатывается в тканях специализированными (т. наз. тучными) клетками. Препарат гепарина получают из легких и печени рогатого скота в виде Na-соли (мол. м. 17-20 тыс.)-аморфного продукта, легко р-римого в воде. Количеств. определение гепарина основано на измерении биол. активности препарата или смещения1103-5.jpg р-ров нек-рых красителей (напр., азура А) в присут. гепарина.
1103-4.jpg

Препараты гепарина применяют в хирургии для предотвращения свертывания крови при длительных операциях с искусств. кровообращением, для предупреждения послеоперационных тромбозов, лечения инфарктов миокарда и атеросклероза и др.

Литература

Джинлоз Р. В., Гепарин, в кн.: Методы химии углеводов, пер. с англ., М., 1967, с. 364-37; Heparin. New biochemical and medical aspects, ed. by I. Witt, B.-N. Y., 1983. А. И. Усов.

Синонимы/примеры:* Гепарин натрия; Гепарин кальция; Гепарин калия; Ликвимин; Липо-Гепарин; Парнапарин
*подобраны ИИ, возможны неточности