Простагландины
Термин «простагландины» был введен У. Эйлером, впервые показавшим, что в сперме человека и экстрактах из семенных пузырьков барана содержатся вещества, оказывающие выраженное вазопрессорное действие и вызывающие сокращение гладкой мускулатуры матки. Предположение У. Эйлера, что эти вещества являются специфическим секретом предстательной
железы (prostata), не подтвердилось, поскольку, как теперь установлено, они содержатся во всех органах и тканях . Тем не менее этот термин в литературе сохранился (синонимы: простатогландины, простагландины).
В последнее десятилетие простагландины и родственные им биологически активные соединения (лейкотриены, простациклины, тромбоксаны) были предметом пристального внимания исследователей. Объясняется это тем, что, помимо широкого распространения в тканях, они оказывают сильное фармакологическое действие на множество физиологических функций организма, регулируя гемодинамику почек, сократительную функцию гладкой мускулатуры, секреторную функцию желудка, жировой, водно-солевой обмен и др. Имеются данные о том, что простагландины, вероятно, не являются «истинными» гормонами, хотя некоторые авторы считают их «локальными, местными гормонами», однако было показано, что они модулируют действие гормонов. Биологические эффекты простагландинов, по-видимому, опосредованы через циклические нуклеотиды (см. далее).
В последнее время были подтверждены представления С. Бергстрёма и сотр., что предшественником всех простагландинов являются полиненасыщенные жирные кислоты, в частности арахидоновая кислота (и ряд ее производных, дигомо-γ-линоленовая и пентаноевая кислоты, в свою очередь образующиеся в организме из линолевой и линоленовой кислот) (см. главу 11). Арахидоновая кислота после освобождения из фосфоглице-ринов (фосфолипидов) биомембран под действием специфических фосфоли-паз А (или С) в зависимости от ферментативного пути превращения дает начало простагландинам и лейкотриенам по схеме:


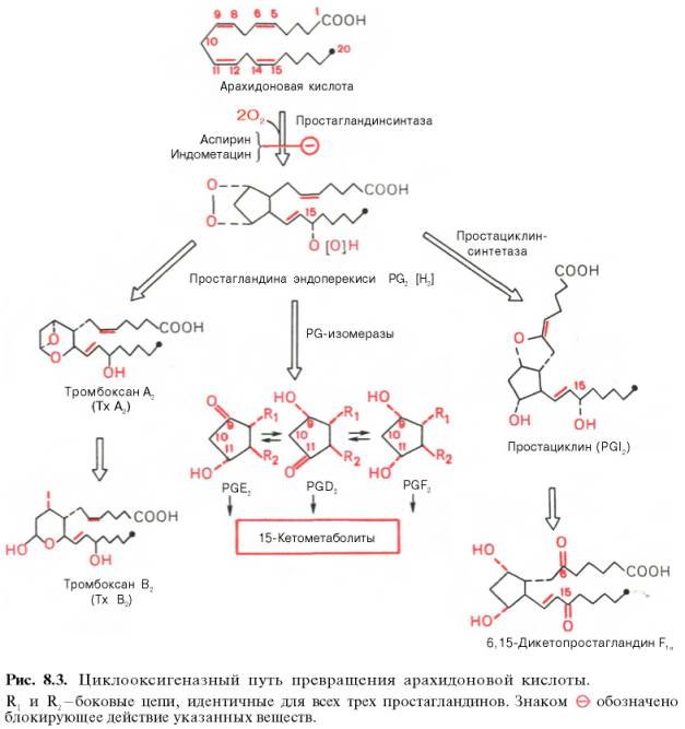
Первый путь получил наименование циклооксигеназного пути превращения арахидоновой кислоты, поскольку первые стадии синтеза простагландинов катализируются циклооксигеназой, точнее простаглан-дин-синтазой (КФ 1.14.99.1). В настоящее время известны данные о биосинтезе основных простаноидов (рис. 8.3). Центральным химическим процессом биосинтеза является включение молекулярного кислорода (двух молекул) в структуру арахидоновой кислоты, осуществляемое специфическими оксигеназами, которые, помимо окисления, катализируют циклизацию с образованием промежуточных продуктов – простагландинэндоперекисей PG2[H2], обозначаемых PGG2и PGH2; последние под действием проста-гландин-изомераз превращаются в первичные простагландины. Различают 2 класса первичных простагландинов: растворимые в эфире простагланди-ны PGE и растворимые в фосфатном буфере простагландины PGF. Каждый из классов делится на подклассы: PGE1, PGE2, PGF1, PGF2и т.д. Простациклины и тромбоксаны синтезируются из указанных промежуточных продуктов при участии отличных от изомераз ферментов. Детали механизма биосинтеза простаноидов пока до конца не выяснены, как и пути их окисления до конечных продуктов обмена.
Первичные простагландины синтезируются во всех клетках (за исключением эритроцитов), действуют на гладкие мышцы пищеварительного тракта, репродуктивные и респираторные ткани, на тонус сосудов, модулируют активность других гормонов, автономно регулируют нервное возбуждение, процессы воспаления (медиаторы), скорость почечного кровотока; биологическое действие их опосредовано путем регуляции синтеза цАМФ (см. далее).
Тромбоксан А, в частности тромбоксан А2 (ТхА2), синтезируется преимущественно в ткани мозга, селезенки, легких, почек, а также в тромбоцитах и воспалительной гранулеме из PGH2под действием тромбоксансинта-зы (см. рис. 8.3); из ТхА2 образуются остальные тромбоксаны. Они вызывают агрегацию тромбоцитов, способствуя тем самым тромбообразова-нию, и, кроме того, оказывают самое мощное сосудосуживающее действие из всех простагландинов.
Простациклин (PGI2) синтезируется преимущественно в эндотелии сосудов, сердечной мышце, ткани матки и слизистой оболочке желудка. Он расслабляет в противоположность тромбоксану гладкие мышечные волокна сосудов и вызывает дезагрегацию тромбоцитов, способствуя фибринолизу.
Следует указать также на особое значение соотношения в крови тромбо-ксаны/простациклины, в частности TxA2/PGI2для физиологического статуса организма. Оказалось, что у больных, предрасположенных к тромбозам, имеется тенденция к смещению баланса в сторону агрегации; у больных, страдающих уремией, напротив, наблюдается дезагрегация тромбоцитов. Выдвинуто предположение о важности баланса TxA2/PGI2для регуляции функции тромбоцитов in vivo, сердечно-сосудистого гомеостаза, тромботи-ческой болезни и т.д.
На рис. 8.3 представлены также пути катаболизма простаноидов. Начальной стадией катаболизма «классических» простагландинов является стереоспецифическое окисление ОН-группы у 15-го углеродного атома с образованием соответствующего 15-кетопроизводного. Фермент, катализирующий эту реакцию,– 15-оксипростагландиндегидрогеназа открыт в цитоплазме, требует наличия НАД или НАДФ. Тромбоксан инактивируется in vivo или путем химического расщепления до тромбоксана В2, или путем окисления дегидрогеназой либо редуктазой. Аналогично PGI2(простацик-лин) быстро распадается до 6-кето-РGF1α in vitro, a in vivo инактивируется окислением 15-оксипростагландиндегидрогеназой с образованием 6,15-ди-кето-РGF1α.
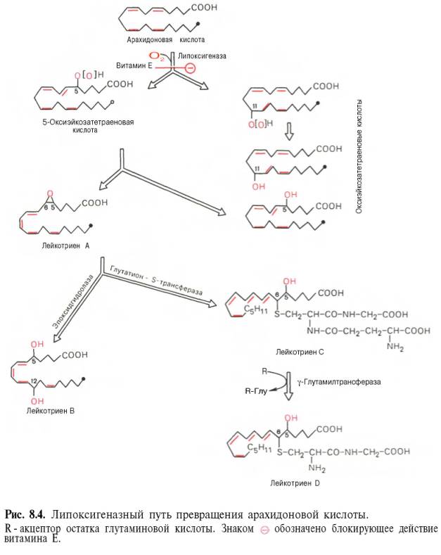
Второй путь превращения арахидоновой кислоты – липоксигеназный путь (рис. 8.4) – отличается тем, что дает начало синтезу еще одного класса биологически активных веществ – лейкотриенов. Характерная особенность структуры лейкотриенов заключается в том, что она не содержит циклической структуры, хотя лейкотриены, как и простаноиды, построены из 20 углеродных атомов. В структуре лейкотриенов содержатся четыре двойные связи, некоторые из них образуют пептидолипидные комплексы с глутатионом или с его составными частями (лейкотриен D может далее превращаться в лейкотриен Е, теряя остаток глицина). Основные биологические эффекты лейкотриенов связаны с воспалительными процессами, аллергическими и иммунными реакциями, анафилаксией и деятельностью гладких мышц. В частности, лейкотриены способствуют сокращению гладкой мускулатуры дыхательных путей, пищеварительного тракта, регулируют тонус сосудов (оказывают сосудосуживающее действие) и стимулируют сокращение коронарных артерий. Катаболические пути лейкотриенов окончательно не установлены.

Таким образом, благодаря своему широкому распространению в тканях и высокой и разносторонней биологической активности простагландины (и вообще простаноиды) и лейкотриены находят все более широкое применение в медицинской практике в качестве лекарственных препаратов. Эти обстоятельства стимулируют проведение дальнейших исследований как по пути поиска новых простаноидов, так и по пути химического синтеза их аналогов с защищенными функциональными группами, более стабильными при введении в организм.