Лейкотриены

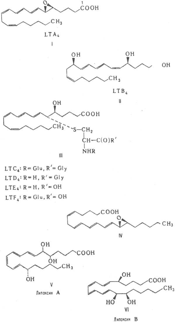
ЛЕЙКОТРИЕНЫ (LT), производные полиеновых к-т, содержащие в молекуле три сопряженные двойные связи, а также (наряду с др. заместителями) гидроксигруппу в положении 5 или эпоксигруппу в положении 5,6; выполняют ф-ции прир. биорегуляторов. Известно 6 типов лейкотриенов - А, В, С, D, Е и F (см. ф-лы I-III, Glu - остаток глутаминовой к-ты, Gly - глицина).
561_579-51.jpg
Внутри каждого типа различают три серии лейкотриенов, отличающиеся числом двойных связей (обозначают цифрами 3,4, 5 или 6 в ниж. индексе - в зависимости от числа двойных связей). Большинство лейкотриенов - нестабильные соед., и, как правило, их можно охарактеризовать только в виде производных. Так, для метилового эфира LTA4 т. пл. 28-32 °С, [a]D20 -27° (гексан). Все лейкотриены имеют характерный УФ спектр с тремя максимумами поглощения, напр. для спектра LTB4 в метаноле lмакс 260 (e 3,8.104), 270,5 (e 5,0.104) и 281 нм (e 3,9.104), для LTC4 lмакс 270 (e 3,2.104), 280 (с 4,0.104) и 290 нм (e 3,1.104) В организме животных обнаружены структурные изомеры лейкотриенов - т. наз. липотриeны (см., напр., ф-лу IV). В отличие от лейкотриенов они содержат гидроксигруппу в положении 15 или эпоксигруппу в положении 14, 15. Принципиально новый класс метаболитов эйкозаполиеновых к-т, родственных лейкотриенам, - липоксины, имеющие в молекуле 4 сопряженные двойные связи и 3 гидроксигруппы (V-VI). Серосодержащиe (пептидные) лейкотриены (LTC4 и др.) образуются в разл. нормальных и трансформированных клетках млекопитающих (лейкоцитах, моноцитах, макрофагах, в базофилах крыс, больных лейкемией и др.). Более широко распространены лейкотриены типов А и В. Они найдены не только у животных, но и в нек-рых растениях, напр. картофеле. Лейкотриены не накапливаются в тканях, а синтезируются в ответ на определенные стимулы. Они участвуют в воспалит. р-циях и являются медиаторами анафилаксии (аллергической р-ции немедленного типа, развивающейся в ответ на присутствие аллергена). Для пептидных лейкотриенов более характерно миотропное действие (сокращение гладкой мускулатуры желудочно-кишечного тракта, бронхов, паренхимы легких, кровеносных сосудов). LTB4 проявляет выраженное лейкотропное действие - вызывает агрегацию, хемотаксис (направленное движение) и хемокинезис (повышение подвижности) лейкоцитов - и является активным ионофором для Са2+. Установлено, что в ряде случаев физиол. действие лейкотриенов опосредовано их взаимодействием со специфич. рецепторами. Липоксины стимулируют хемотаксис лейкоцитов и агрегацию тромбоцитов. Биосинтез лейкотриенов, липотриенов и липоксинов осуществляется через промежут. реакционноспособные гидропероксиды (соотв. через 5- или 15-гидропероксиэйкозаполиеновые и 5,15-дигидропероксиэйкозаполиеновые к-ты), к-рые образуются в результате окисления эйкозаполиеновых к-т при участии 5- или (и) 15-лилооксигеназ. Моногидропероксиэйкозаполиеновые к-ты далее превращаются в нестабильный эпоксид типа А, из к-рого образуются лейкотриены др. типов. Осн. путь катаболизма лейкотриенов - их w-окисление с образованием 20-гидрокси- и 20-нор-19-карбоксипроизводных. В лаб. условиях лейкотриены получают из полиеновых к-т с использованием ферментативных р-ций или синтезируют с помощью р-ции Виттига, осуществляя конденсацию углеводородного и карбоксилсодержащего фрагментов. Для количеств. определения лейкотриенов обычно используют высокоэффективную жидкостную хроматографию и радиоиммунный анализ (используются меченные радиоактивными атомами антигены). Вследствие важной роли лейкотриенов в патогенезе таких заболеваний, как бронхиальная астма, проводится интенсивный поиск лек. ср-в, блокирующих биосинтез лейкотриенов или их рецепторов.
Литература
Будницкая Е, В., "Успехи биологической химии", 1985, т. 26, с. 269-77; Евстигнеева Р. П.. Мягкова Г. И.. "Успехи химии". 1986. т. 55. в. 5. с. 843-78; Современные направления в органическом синтезе, пер. с англ., М.. 1986, с. 12-28; Leukotrienes and other lipoxygenase products, ed. by P. Samuelsson, R. Paoletti, N. Y.. 1982; Schewc Т., Rapoport S. M., Kuhn H., в сб.: Advances in enzymology and related areas of molecular biology, v. 58. 1986, p. 191-272; Kuhn H. [a. o.], "Europ. J. Biochem.". 1987, v. 169, № 3, p. 593-601. В. В. Безуглов. В. 3. Ланкин.

Синонимы/примеры:* Лейкотриен С4; Лейкотриен D4; Лейкотриен Е4; SRS-A
*подобраны ИИ, возможны неточности