Холестерин

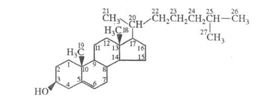
ХОЛЕСТЕРИН (5-холестен-З6007-65.jpg-ол), мол. м. 386,66; жемчужные кристатлы, жирные на ощупь; т. пл. 149 °С, т. кип. 300-320 °С (с частичным разложением);6007-66.jpg -39° (в СНС13). Хорошо раств. в триэтиламине, бензоле, пиридине, амиловом спирте, хуже - в петролейном эфире, низших спиртах, ацетоне, диэтиловом эфире, уксусной к-те, не раств. в воде, но образует с ней коллоидные р-ры.

6007-67.jpg

Холестерин дает цветные р-ции: с СНС13 в H2SO4 - красный цвет слоя СНС13 и флуоресцирующий зеленый цвет кислотного слоя; с подкисленным р-ром СНС13 и уксусным ангидридом -розовое окрашивание, быстро меняющееся в красное, затем синее и, окончательно, в зеленое.
Характерное св-во холестерина- способность к образованию мол. комплексов со мн. солями, к-тами, аминами, углеводами (напр., с глюкозой - глюкохолестерины), белками, витамином D3, сапонинами; в последнем случае соединение холестерина с сапонином дигитонином выпадает в виде нерастворимого осадка (на этом основано применение холестерина как противоядия при отравлении сапонинами).

Гидроксильная группа холестерина легко замещается хлором без инверсии. Так, под действием РС15 или SOC12 холестерин превращается в холестерилхлорид (ф-ла I), восстановление к-рого Na в амиловом спирте приводит к6007-68.jpg-холестену (II); последний при каталитич. гидрировании превращается в холестан (III):

6007-69.jpg

Холестерин образует простые и сложные эфиры с к-тами, в т. ч. с высшими жирными, входящими в состав клеточных мембран. При окислении СrO3 холестерин превращается в 4-холестен-3-он, при действии активной МnО2 - в 4,6-холестадиен-3-он. По двойной связи холестерин присоединяет С12 с образованием6007-70.jpg и6007-71.jpg дихлоридов. Гидрирование холестерина над Pt приводит к6007-72.jpgхолестан-6007-73.jpg-олу.
Холестерин- основной стерин высших животных, однако присутствует практически во всех живых организмах, включая бактерии и синезеленые водоросли. В тканях животных содержится в своб. виде (напр., в тканях нервной системы) или в виде эфиров с высшими жирными к-тами и служит их переносчиком. Наиб. кол-во холестерина - в мозге, печени, почках, надпочечниках. Нормальное содержание холестерина в крови человека составляет 160-220 мг в 100 мл. Нарушение холестеринового обмена является одной из причин атеросклероза и желчнокаменной болезни. Впервые холестерин выделен из желчных камней, почти целиком состоящих из холестерина. Из пищевых продуктов холестерина больше всего в жирах, желтках яиц. На долю холестерина, получаемого с пищей, приходится ок. 30%.
Основное кол-во холестерина синтезируется самим организмом из сквалена с участием фермента холестеринэстеразы. Важнейшей биохим. функцией холестерина у позвоночных является его превращение в гормон прогестерон в плаценте, семенниках, желтом теле и надпочечниках; этим превращением открывается цепь биосинтеза стероидных половых гормонов и кортикостероидов. Другое направление метаболизма холестерина у позвоночных - образование желчных кислот и витамина D3 (см. Витамин D). Кроме того, холестерин участвует в регулировании проницаемости клеток и предохраняет эритроциты крови от действия гемолитич. ядов. У насекомых поступающий с пищей холестерин используется для биосинтеза гормонов линьки - экдизонов.
У ряда животных постоянный уровень холестерина в организме регулируется по принципу обратной связи - при поступлении избытка холестерина его биосинтез в клетках организма ингибируется. У человека этот механизм контроля отсутствует, поэтому содержание холестерина может значительно возрастать, особенно с приемом жирной пищи.
Холестерин вьщеляют из спинного мозга животных экстрагированием ацетоном или из жира, получаемого при промывке овечьей шерсти (ланолина). Очищают холестерин быстрой кристаллизацией из уксусной к-ты.
Применяют холестерин гл. обр. для получения стероидных гормонов и производных на их основе, а также витамина D3 и др. фармацевтич. препаратов.

Лит. см. при ст. Стерины.

Синонимы/примеры:* Холестерол; Холестирин; Холестеринол
*подобраны ИИ, возможны неточности