Сапонины
САПОНИНЫ (от лат. sapo-мыло), группа растит. гликозидов, водные р-ры к-рых образуют стойкую мыльную пену; обладают гемолитич. активностью и являются ядами для животных, дышащих жабрами. К сапонинам также относят гликозиды стероидов и тритерпеноидов морских организмов.
Сапонины-бесцв. или желтоватые кристаллита, или аморфные в-ва с высокой т-рой плавления (плавятся с разл.); хорошо раств. в воде, плохо-в холодном этаноле, лучше-в горячем и в метаноле, не раств. в бензоле, хлороформе и диэтиловом эфире.
При кислотном или ферментативном гидролизе сапонины расщепляются на углеводную составляющую и агликон (сапо-генин). В зависимости от природы сапогенина сапонины подразделяют на стероидные и тритерпеновые.
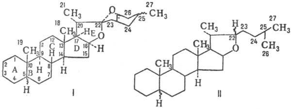
Стероидные сапонины в качестве сапогенинов содержат обычно производные спиростана (ф-ла I) или фуростана (II).

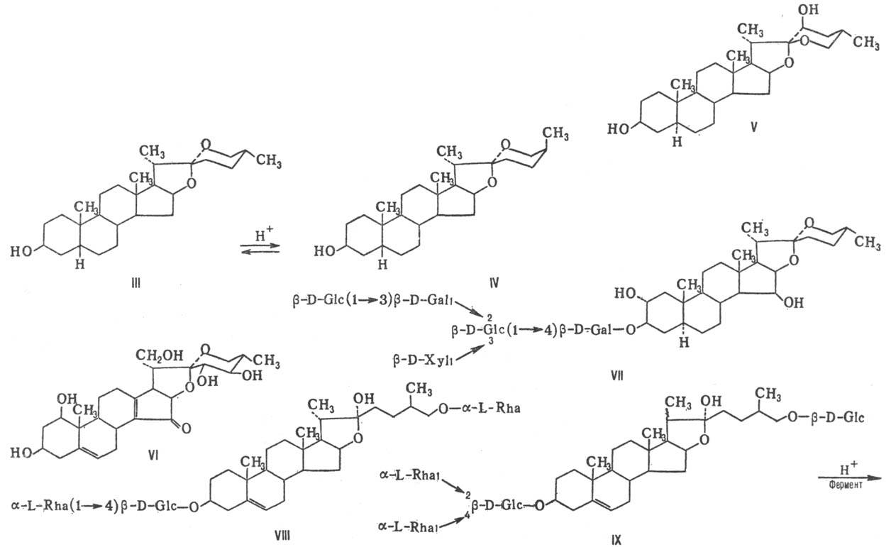
Спиростановые сапогенины, за редким исключением, содержат 27 атомов углерода. Благодаря присутствию хи-рального центра С-25 производные спиростана образуют изомеры (25R) и (25S), или изо- и нео-изомеры (соотв. группа СН3 ориентирована экваториально и аксиально). Смилаге-нин (III) и сарсасапогенин (IV)-типичные представители агликонов этого типа; их структуры находятся в подвижном равновесии:
В растениях возможно совместное присутствие (25R)-и (25S)-спиростанов, количеств. соотношение к-рых может меняться во время хранения. Большое разнообразие изомерных пар сапогенинов обусловлено кол-вом, конфигурацией и взаимным расположением заместителей (обычно атом О, группа ОН), степенью ненасыщенности стероидного ядра и стереохимией колец А и В.
Известно лишь неск. прир. спиростанов, скелет к-рых имеет структурные и стереохим. отличия от скелета соед. I.
Напр., для хиспигенина (V) характерна обращенная конфигурация хирального центра С-22; трилленогенин (VI) является производным 18-норспиростана. Агликоны сапонинов ряда спиростана обычно получают гидролизом спиростановых сапонинов или выделяют из растений в своб. виде.
У большинства спиростановых сапонинов углеводный остаток связан с сапогенином через гидроксил при С-3. Вместе с тем встречаются гликозиды с углеводным компонентом при атомах С-1, С-2, С-5, С-6, С-11 или С-24. Кол-во моносахаридных остатков в молекулах сапонинов-от одного до шести. Обычно в состав углеводных цепей входят остатки D-глю-козы, D-галактозы, D-ксилозы, L-рамнозы и L-арабинозы. Известны сапонины, содержащие остатки D-хиновозы, D-апиозы и D-фукозы. Молекула может содержать также алкоксикар-бонильные группы. Ацильная группа (остатки уксусной, бензойной, 2-гидрокси-2-метилглутаровой, серной к-т) может находиться как в сапогенной, так и в углеводной частях молекулы.
Нек-рые спиростановые сапонины [напр., дигитонин (VII); Glc-глюкоза, Gal-галактоза, Xyl-ксилоза] способны образовывать труднораств. комплексы с холестерином или др. 3b-гидроксистероидами.
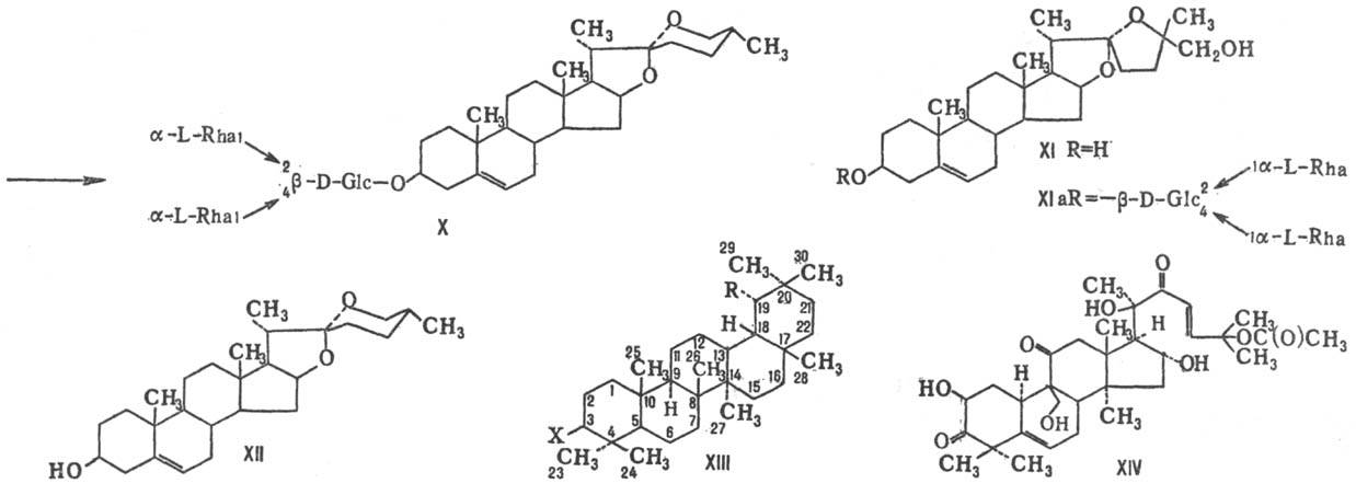
Сапонины ряда фуростана имеют в своей основе скелет соед. II. Как правило, они содержат углеводную цепь при С-3 и остаток D-глюкозы при С-26. Исключение составляет афромон-тозид (VIII; Rha-рамноза). Отщепление остатка сахара от С-26 под действием к-т или ферментов приводит к спиростановым сапонинам, напр. в случае перехода от протодиосцина (IX) к диосцину (X).
Др. тип фуростановых сапогенинов представлен нуатигенином (XI) и его гликозидами, напр. акулеатизидом А (XIa).
Сапогенины спиростанового типа, особенно диосгенин (XII),-осн. полупродукт в производстве стероидных препаратов (см. Kopmuкоиды). Для спиростановых сапонинов характерно гемолитич., канцеролитич., фунгистатич. и гипохолестери-немич. действие. У фуростановых сапонинов гемолитич. активность выражена гораздо слабее. Установлено, что фуростановые сапонины, в отличие от спиростановых, не осаждают холестерин из спиртовых р-ров.

Абс. большинство стероидных сапонинов продуцируется высшими растениями. Наиб. богаты ими семейства амараллисовых (Amaryllidaceae), диоскорейных (Dioscoreaceae), лилиевых (Liliaceae). Известно ок. 200 сапогенинов ряда спиростана и примерно такое же кол-во их гликозидов. Доказано строение более 80 гликозидов фуростанового типа.
Биосинтез спиростанов в растениях осуществляется из холестерина и, вероятнее всего, проходит через промежут. стадию образования фуростанов.
Тритерпеновые сапогенины являются обычно производными олеанана (XIII; X и R = Н) или урсана (ф-ла XIII; X = Н, R = СН3; СН3-29 отсутствует). В природе широко распространены сапонины, сапогенинами к-рых являются амирины (напр., b-амирин, ф-ла XIII, X = ОН, R = Н; в положении 12-13 двойная связь).
В бахчевых культурах содержатся сапонины тритерпенового ряда (их идентифицировано св. 50), обладающие горьким неприятным вкусом. Сапогенины этих сапонинов-кукурбитацины (см., напр., ф-лу XIV-кукурбитацин А).
Сапонины-пенообразователи в огнетушащих составах, а также для пива и др. напитков; компоненты мн. лек. настоек и препаратов (сердечных, мочегонных, отхаркивающих и ДР·)·
Лит.: Физер Л., Физер М., Стероиды, пер. с англ., М., 1964; Деканосид-зе Г. Е., Чирва В. Я., Сергиенко Т. В., Биологическая роль, распространение и химическое строение тритерпеновых гликозидов, Тб., 1984; Химия спиро-станолов, М., 1986; Строение и биологическая активность стероидных гликозидов ряда спиростана и фуростана, Киш., 1987; Пасешниченко В. А., Биосинтез и биологическая активность растительных терпеноидов и стероидов, М., 1987; Tschesche R., Wulff G., в кн/ Fortschr. Chem. Org. Naturstoff, Bd 30, Bonn, 1973.
М. Б. Горовиц.