Мукополисахариды
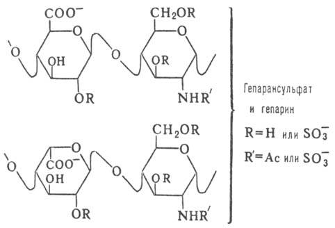
МУКОПОЛИСАХАРИДЫ, кислые гликозаминогликаны (полисахариды) животного происхождения. Молекулы мукополисахаридов линейны и построены из повторяющихся дисахаридных звеньев, в каждом из к-рых имеется остаток аминосахара (N-ацетил-D-глюкозамина, D-глюкозамин-N-сульфата или N-ацетил-D-галактозамина); вторым моносахаридом повторяющегося звена м. б. остаток уроновой к-ты (D-глюкуроно-вой или L-идуроновой) или D-галактоза; отдельные гид-роксильные группы могут быть сульфатированы (см. ф-лы).

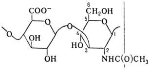
Гиалуроновая кислота (Гиалуронат)
В нативном состоянии только гиалуроновая к-та-истинный полисахарид; др. мукополисахариды (в т.ч. гепарин и гепарансуль-фат, отличающийся от гепарина меньшим кол-вом в молекуле О-сульфатир. остатков) ковалентно связаны с белками, образуя протеогликаны. Эти в-ва широко представлены в соединит. ткани (хрящах, сухожилиях, костях, коже, роговице, стекловидном теле глаза), слизистых выделениях и жидкостях животных организмов, а также входят в состав клеточных мембран.

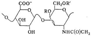
Хондроитин; R = R'=H Хондроитин-4-сульфат; R=SO-3, R'=H
Хондроитин-6-сульфат; R = H, R'=SO-3 Хондроитин-4,6-дисульфат; R = R'=SO-3
Биосинтез мукополисахаридов включает построение полимерных предшественников и их послед. модификацию путем эпимериза-ции остатков D-глюкуроновой к-ты в L-идуроновую, N-де-ацетилирования и послед. N-сульфатирования остатков N-ацетил-D-глюкозамина, а также сульфатирования гидро-ксильных групп. Этим объясняется образование "гибридных" структур, содержащих в одной молекуле дисахаридные звенья неск. типов (напр., хондроитинсульфата-дерматан-сульфата, гепарансульфата - гепарина).

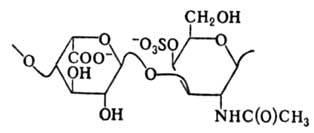
Дерматансульфат

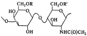
Нератансульфат; R и R' = H или SO-3
При получении мукополисахаридов применяют протеолиз и обработку основаниями, что приводит к деградации белковой части молекул протеогликанов. Смеси мукополисахаридов разделяют на компоненты ионообменной хроматографией или фракционным осаждением из водных р-ров катионными ПАВ (напр., N-цетилпиридинийхлоридом, цетилтриметиламмонийхло-ридом).

Идентификацию мукополисахаридов осуществляют по характеру моно-сахаридов, входящих в мукополисахариды, подвижности при электрофорезе и по спектрам ЯМР. Важную роль в анализе играет способность мукополисахаридов расщепляться специфич. ферментами, к-рые могут катализировать гидролиз отдельных гликозидных связей (гидролазы), элиминирование заместителя из положения 4 остатка уроновой к-ты с образованием 4,5-ненасыщ. уро-новой к-ты (лиазы) или десульфатирование (сульфатазы).
Препараты мукополисахаридов, получаемые обычно в виде Na-солей,-бесцв. в-ва, хорошо р-римые в воде с образованием вязких р-ров, не раств. в орг. р-рителях. Мукополисахариды находят применение как лек. ср-ва: гиалуроновая к-та-при лечении глаукомы и воспалений суставов, гепарин-в хирургич. практике как ср-во, препятствующее свертыванию крови, и антитром-ботич. агент.
Исп. литература для статьи «МУКОПОЛИСАХАРИДЫ»: Fransson L. А., в кн.: Polysaccharides, v. 3, ed. by G.O. Aspinall, Orlando, 1985, p. 337-415. . А.И.Усов.