Олигосахариды
ОЛИГОСАХАРИДЫ, углеводы, молекулы к-рых построены из неск. моносахаридных остатков (от 2 до 10-20), соединенных гликозидными связями (экзоциклич. связь ано-мерного атома С моносахарида с атомом О соседнего моносахаридного остатка). В соответствии со степенью полимеризации различают дисахариды (биозы), трисахари-ды (триозы), тетрасахариды (тетраозы) и т.д.
В состав олигосахаридов могут входить остатки к.-л. одного моносахарида (гомоолигосахариды) или разных моносахаридов (гете-роолигосахариды). Каждый моносахаридный остаток может находиться в одной из четырех возможных циклич. форм (
-и
-фураноза,
- и
-пираноза; см. Моносахариды)и соединяться гликозидной связью с любой гидроксильной группой соседнего остатка (включая полуацетальный гидроксил). Отсюда следует, что даже из двух одинаковых гексоз можно построить 30, а из двух разных гексоз-56 изомерных диса-харидов; три разные гексозы теоретически дают 4896 изомерных трисахаридов; с ростом степени полимеризации число возможных изомеров быстро достигает астрономич. величин.
Если в молекуле олигосахарида все гликозидные связи образованы полуацетальным гидроксилом одного и спиртовым гидро-ксилом другого моносахаридного остатка, в конце цепи остается один незамещенный полуацетальный гидроксил, за счет к-рого олигосахарид проявляет св-ва карбонильных соед., характерные для моносахаридов (р-ции окисления и восстановления, мутаротацию и др.); такие олигосахариды наз. восстанавливающими (редуцирующими). Если же один из моносахаридных остатков в молекуле олигосахарида связан гликозидной связью с полуацетальным гидроксилом другого моносахарида, такие олигосахариды не содержат полуацетального гидроксила и наз. невосстанавливающими (нередуцирующими). Олигосахариды, в к-рых к спиртовым гидроксилам каждого моносахаридного остатка присоединено не более одного соседнего остатка, наз. линейными (неразветвленными); присоединение двух и более моносахаридов к спиртовым гидроксилам одного и того же моносахаридного остатка приводит к разветвлению олигосахаридов. Т. обр., уже трисахариды могут иметь разветвленную структуру. Моносахаридные остатки, расположенные на концах углеводных цепей, наз. концевыми (терминальными). В восстанавливающих олигосахаридах различают концевой восстанавливающий моносахарид (он м. б. только один) и концевые невосстанавливающие моносахариды (их на единицу больше, чем точек разветвлений).
Строгая номенклатура олигосахаридов весьма громоздка. Название олигосахарида образуется по типу О-замещенных производных моносаха-ридов, исходя из названия восстанавливающего звена с указанием всех имеющихся заместителей; для невосстанавливающих олигосахаридов номенклатура аналогична номенклатуре гликози-дов. В названиях линейных олигосахаридов часто применяется последовательное перечисление моносахаридных остатков с указанием типа связи между ними. Весьма употребительны тривиальные названия олигосахаридов, обычно связанные с источником получения в-ва, и способы сокращенной записи структур, в к-рых моносахаридные остатки обозначаются тремя буквами, абс. конфигурации - буквами D или L, размер цикла - буквами f (фураноза) или р (пираноза), конфигурации гликозидных центров-буквами
или
; цифры в скобках обозначают положения гидроксильных групп, участвующих в межмоно-мерной связи; направление гликозидной связи указывается стрелкой (знак ~ обозначает, что моносахарид может иметь
- или
-конфигурацию). Примеры олигосахаридов: невосстанавливающий дисахарид
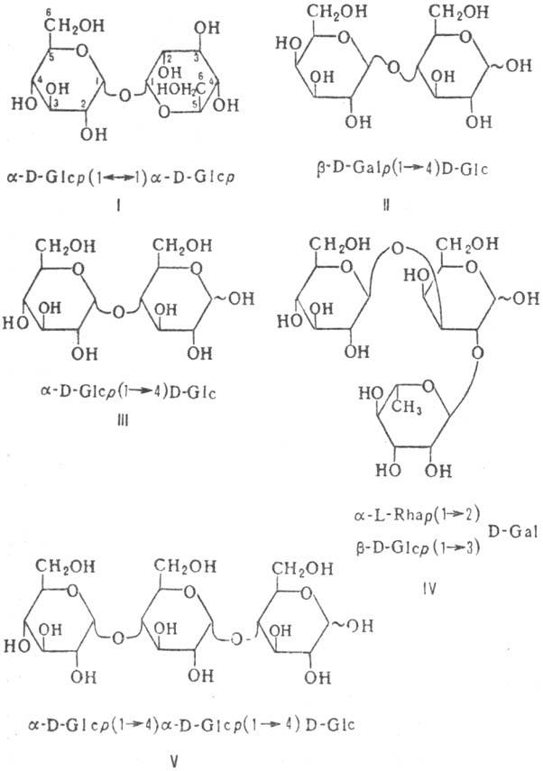
-трегалоза (
-D-глюкопиранозил-
-D-глюкопиранозид; ф-ла Г), восстанавливающие дисахариды лактоза (4-О-
-D-галактопиранозил-D-глюкоза; II) и мальтоза, или солодовый сахар (4-О-
-D-глюкопиранозил-D-глюкоза; III), разветвленный гетеротрисахарид солатриоза (2-О-
-L-рамнопиранозил-3-О-
-D-глюкопиранозил-D-га-лактоза; IV), линейный гомотрисахарид мальтотриоза [О-
-D-глюкопиранозил-(1
4)-О-
-D-глюкопиранозил-(1
4)-D-глюкоза; V].

Главным источником получения разнообразных олигосахаридов служат р-ции частичного (химического или ферментативного) расщепления прир. полисахаридов, гликолипидов и гликопро-теинов. Однако существует неск. групп олигосахаридов, встречающихся в природе в своб. состоянии. Группа сахарозы широко представлена в растениях, где выполняет роль легкомобили-зуемого энергетич. резерва. Кроме сахарозы в эту группу входят олигосахариды, образовавшиеся путем гликозилирования молекулы сахарозы остатками D-фруктозы (Fru), D-глюкозы (Glc) или D-галактозы (Gal), а также в результате последующего частичного гидролиза этих высших олигосахаридов:

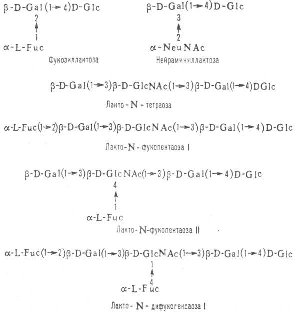
Олигосахариды группы лактозы содержатся в молоке млекопитающих; известно неск. десятков олигосахаридов этой группы, к-рые представляют собой продукты гликозилирования молекулы лактозы остатками L-фукозы (Fuc), N-ацетил-D-глюкозамина (GlcNAc), D-галактозы, N-ацетилнейраминовой к-ты (NeuNAc; все сахара в пиранозной форме), напр.:

Обращает на себя внимание сходство этих олигосахаридов с углеводными цепями гликолипидов и гликопротеинов животных тканей. Одна из ф-ций олигосахаридов группы лактозы - формирование бактериальной флоры в кишечнике новорожденных, необходимой для нормального пищеварения.
Из других олигосахаридов, встречающихся в прир. источниках, следует упомянуть
-трегалозу (резервный дисахарид насекомых и грибов), а также уникальные по структуре циклодекстрины (декстрины Шардингера), представляющие собой мак-роциклич. молекулы из 6, 7 или 8 остатков
-глюкопира-нозы, связанных 1
4-связями; циклодекстрины образуются из крахмала при действии на него амилазы из бактерий Bacillus macerans.
Большинство олигосахаридов-бесцв. кристаллич. соед., раств. в воде, меньше раств. в полярных орг. р-рителях и не раств. в неполярных. Невосстанавливающие олигосахариды кристаллизуются легко, тогда как восстанавливающие существуют в р-рах в виде смеси таутомерных форм и часто кристаллизуются с большим трудом.
Из хим. р-ций олигосахаридов важнейшей является полный кислотный гидролиз под действием разб. минер. к-т, используемый для определения моносахаридного состава. Восстановление или окисление карбонильной группы позволяет идентифицировать моносахарид. расположенный на восстанавливающем конце молекулы. Превращ. всех гидроксильных групп олигосахаридов в метиловые эфиры с послед. гидролизом и идентификацией метилир. моносахаридов (т. наз. метод метилирования) служит хим. способом определения размера циклов и расположения межмономерных связей в молекулах олигосахаридов; для этой же цели используется периодатное окисление. Последовательность моносахаридных остатков и конфигурации отдельных гликозидных центров определяют при расщеплении олигосахаридов специфич. гликозидазами.
Для выделения олигосахаридов из сложных смесей используют хрома-тографич. методы, причем разделение олигосахаридов по степени полимеризации достигается с помощью гелъ-хроматографии, а более тонкое разделение изомеров выполняют с применением высокоэффективной жидкостной хроматографии. Низшие олигосахариды в виде летучих производных (метиловых, триметилсилило-вых эфиров или ацетатов) удается разделять с помощью гжх.
Синтез олигосахаридов-одна из сложнейших задач синтетич. химии углеводов. Для этой цели разработаны многочисл. приемы избират. защиты гидроксильных групп в молекулах моносахаридов и ряд весьма эффективных методов стереоспе-цифич. построения гликозидной связи.
Наиб. практическое использование находит сахароза, к-рая по масштабам ежегодного получения (св. 100 млн. т) занимает одно из первых мест среди индивидуальных орг. соединений. В небольших кол-вах производятся лактоза и циклодекстрины, используемые в фармацевтич. пром-сти. Синтетич. олигосахариды, идентичные антигенным детерминантам бактериальных полисахаридов, могут найти применение при синтезе искусств. антигенов, перспективных для получения специфич. вакцин.
Лит.: Химия углеводов. М., 1967, с. 417-74;
J.,
М., Раса k J., The oligosaccarides, Prague, 1965. А.И. Усов.