Строение дисахаридов
При изучении строения дисахаридов должно быть установлено следующее:
1. Остатки каких моносахаридов участвуют в образовании дисахарида?
2. В виде каких форм входят эти остатки моносахаридов? Здесь в свою очередь должны быть решены вопросы: а) о наличии α- или β-форм, в частности о характере гликозидной связи (α- или β-), и б) о наличии пиранозного или фуранозного кольца. В невосстанавливающих дисахаридах циклы обоих остатков фиксированы, и вопросы (а) и (б) решаются однозначно; в случае же восстанавливающих дисахаридов фиксирован цикл лишь одного остатка, а второй остаток может существовать в виде всех таутомерных форм, свойственных моносахаридам, и поэтому в отношении второго остатка следует говорить лишь о преобладающей форме при данных условиях.
3. За счет каких гидроксилов происходит соединение двух молекул моносахаридов при образовании дисахарида?
Чтобы выяснить, остатки каких моносахаридов образуют молекулу дисахарида, последний обычно подвергают гидролизу; образовавшиеся моносахариды идентифицируют теми или другими методами.
Для установления характера гликозидной связи (α- или β-) очень часто пользуются избирательным ферментативным гидролизом при помощи α-гликозидазы (например, из дрожжей) и β-гликозидазы (например, из эмульсина). Для невосстанавливающих дисахаридов вопрос о характере гликозидной связи решается труднее, чем для восстанавливающих, и для его выяснения требуются специальные детальные исследования.
Ценные сведения о наличии пиранозных или фуранозных колец можно получить при изучении кинетики кислотного гидролиза: скорость гидролиза фуранозидов обычно значительно больше скорости гидролиза пиранозидов. Более точные сведения о характере колец дает метод метилирования (см. ниже).
При решении вопроса о том, каким образом соединяются остатки моносахаридов, отсутствие альдегидных реакций, а также отсутствие мутаротации являются прямыми указаниями на участие в образовании дисахарида полуацетальных гидроксилов обеих молекул моносахарида. В случае же восстанавливающих дисахаридов наиболее надежные данные дает метод метилирования.
Сущность метода метилирования заключается в следующем. Действием на дисахарид иодистого метила или диметилсульфата (в щелочной среде) атомы водорода всех гидроксильных групп замещают на метальные группы. При метилировании дисахаридов, построенных, например, из гексоз, образуются октаметилзамещенные дисахариды. После метилирования проводят осторожный кислотный гидролиз, в результате которого метилированный дисахарид расщепляется на метилированные моносахариды. Изучение строения метилированных моносахаридов, в частности определение расположения свободных гидроксилов, дает возможность заключить, за счет каких гидроксильных групп были связаны в дисахариде остатки простых сахаров. При кислотном гидролизе метилированных дисахаридов типа мальтозы, кроме расщепления гликозидной связи, соединяющей два остатка моносахарида, будет происходить также гидролиз метилгликозидной связи одного из остатков моносахарида (имевшего до метилирования свободный полуацетальный гидроксил, отсутствующий у дисаларидов типа трегалозы). Таким образом, если гидролизовать октаметил производные дисахаридов типа трегалозы и типа мальтозы, то в первом случае получаются две молекулы тетраметилгексозы, а во втором — молекула тетраметилгексозы и молекула триметилгексозы.
Гидролиз октаметилтрегалозы:

Гидролиз октаметилмальтозы:

Чтобы установить строение восстанавливающих дисахаридов, состоящих из остатков двух различных моносахаридов, требуется еще выяснить, в каком из них полуацетальный гидроксил был замещен и в каком он оставался свободным. Для этого нужно определить, который из остатков моносахарида образовал при метилировании триметилпроизяодное и который — тетрапроизводное.
В природных дисахаридах особенно часто встречается связь 1,4', т.е. гликозидной связью соединены первый углеродный атом одного моносахарида с четвертым углеродным атомом другого. Однако встречаются связь 1,6' и другие связи.
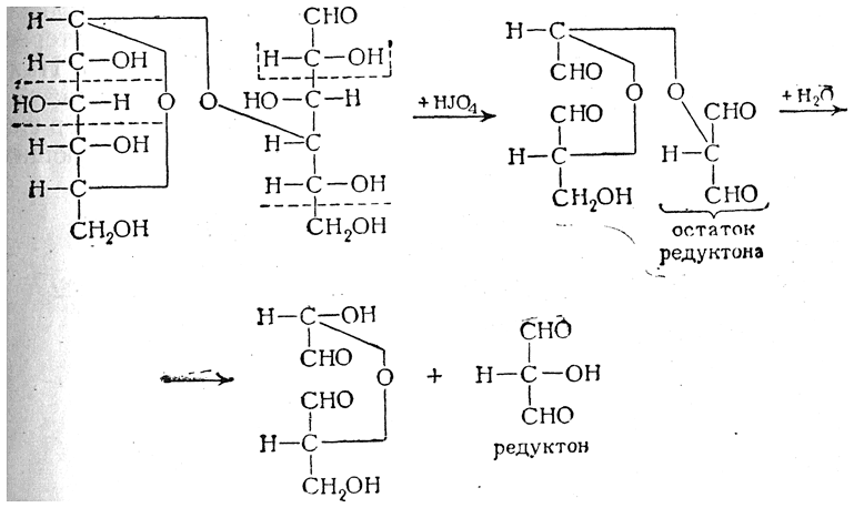
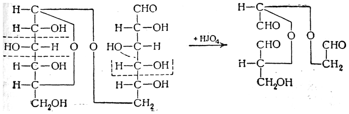
Периодатный метод, широко применяемый в последнее время в химии высших полиоз, дает возможность, в частности, отличить в дисахаридах связи 1,4' и 1,6' При действии йодной кислоты на дисахарид, содержащий связи 1,4', выделяется иод, тогда как при наличии связи 1,6' иод не выделяется. Выделение иода из иодной кислоты обусловлено, по-видимому, восстанавливающим действием образующегося редуктона О=СН—СН(ОН)—СН=О: например мальтоза (связь 1.4') в аль-форме реагирует с иодной кислотой:

Если в дисахариде есть связь 1,6', при периодатном окислении, по-видимому, не происходит ни образования остатка редуктона, ни гидролиза гликозидной связи:

Для рационального обозначения строения восстанавливающих дисахаридов их рассматривают как производные того моносахарида, который сохранил свободный гликозидный гидроксил, причем цифрой указывают, к какому атому углерода этого моносахарида присоединен гликозидный остаток второго моносахарида, а буквой α или β — в какой форме гликозидный остаток второго моносахарида находится в данном дисахариде. Так, мальтоза называется 4-(α-глюкопиранозидо)-глюкозой. Аналогично обозначаются невосстанавливающие дисахариды; так, например, трегалоза называется 1-(α-глюкопиранозидо)-α-глюкопиранозидом.