Гликопротеины

ГЛИКОПРОТЕИНЫ (гликопротеиды), соед., в молекулах к-рых остатки олиго- или полисахаридов ковалентно связаны (О- или N-гликозидными связями) с полипептидными цепями белка. Гликопротеины широко распространены в природе. К ним относятся важные компоненты сыворотки крови (иммуноглобулины, трансферины и др.), групповые в-ва крови, определяющие групповую принадлежность крови человека и животных, антигены мн. вирусов (гриппа, кори, энцефалита и др.), нек-рые гормоны, лектины, ферменты.

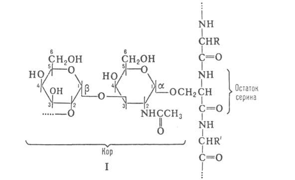
В образовании О-гликозидной углевод-белковой связи участвуют гидроксиаминокислоты; известны комбинации галактоза (Оа1)-гидроксилизин, галактоза или арабинозагидроксипролин, но чаще в узле углевод-белковой связи находятся серии или треонин. Известно присоединение остатков N-ацетилглюкозамина (GlcNAc), маннозы (Man) и галактозы к серину, фукозы (Fuс) - к треонину, однако подавляющее большинство таких гликопротеинов содержит в узле углевод-белковой связи один и тот же дисахаридный фрагмент (т. наз. кор, или стержень), к-рый состоит из остатков галактозы и N-ацетилгалактозамина (GalNAc) и имеет строение1114-20.jpg -(цифры обозначают номера атомов С в моносахаридах, участвующих в образовании гликозидных связей, греч. буквы - конфигурацию аномерного атома С). Кор связан с атомом О гидроксильной группы остатка серина или треонина (см., напр., ф-лу I). В состав углеводных цепей таких гликопротеинов входят также остатки N-ацетилглюкозамина, L-фукозы и (или) N-ацетилнейраминовой к-ты (NeuAc).
1114-21.jpg

Усложнение углеводной цепи О-гликозилпротеинов происходит в результате присоединения к кору остатков N-ацетиллактозамина1114-22.jpg ; на конце углеводных цепей находятся обычно остатки фукозы или N-ацетилнейраминовой к-ты. Так, октасахарид, выделенный из групповых в-в крови, имеет вид:
1114-23.jpg

В более сложном олигосахариде, выделенном из этого же источника, дополнит. остаток N-ацетиллактозамина связан с остатком N-ацетилгалактозамина:
1114-24.jpg

Такие сложные олигосахаридные цепи обнаружены гл. обр. в групповых в-вах крови. Структура углеводных цепей из др. источников м. б. выражена общей ф-лой:
1114-25.jpg

где R и R'-фукоза и (или) N-ацетилнейраминовая к-та. Полипептидные цепи О-гликозилпротеинов, в отличие от обычных белков, сильно обогащены остатками серина и треонина.

В гликопротеинах, у к-рых углеводная и полипептидная цепи соединены N-гликозидными (гликозил-амидными) связями (N-гликозилпротеины), остаток N-ацетилглюкозамина связан с атомом N амидной группы остатка аспарагина в полипептидной цепи. В этом случае кор углеводной цепи гликопротеинов- пентасахарид:
1114-26.jpg

Углеводные цепи у N-гликозилпротеинов м. б. двух типов -гликозилманнозные (II) или комплексные (III):
1114-27.jpg

В состав первых входит только манноза и N-ацетилглюкозамин. Комплексные цепи содержат дополнительно галактозу, а также фукозу или N-ацетилнейраминовую к-ту и образуются в результате трансформации олигоманнозидных цепей при биосинтезе гликопротеинов.

Ветвление углеводных цепей в О- и N-гликозилпротеинах осуществляется присоединением к кору нескольких остатков N-ацетиллактозамина, в зависимости от числа остатков к-рого образуются углеводные цепи, содержащие 2, 3 или 4 ветви, или антенны. Напр., в состав т. наз.1114-28.jpgкислого гликопротеина сыворотки крови входят четырехантенные углеводные цепи:
1114-29.jpg

Полипептидная цепь N-гликозилпротеинов по составу аминокислот не отличается от обычных сывороточных белков. Гликопротеины пов-сти клеток ответственны за межклеточные взаимод. и р-ции клетки с внеш. средой. Биол. специфичность О-гликозилпротеинов находится обычно в зависимости от структуры углеводной компоненты молекулы. За биол. специфичность N-гликозилпротеинов (напр., иммуноглобулинов, антигенов вирусов) ответственна в осн. белковая компонента молекулы, а углеводные цепи участвуют гл. обр. в формировании и поддержании необходимой конформа-ции молекулы.

Литература

Гликопротеины, пер. с англ., т. 1-2, М., 1969; Деревицкая В. А., "Биоорганическая химия", 1983,т. 9,№ 5, с. 581-615;ее же, в кн.: Прогресс химии углеводов, М., 1985, с. 97-125; Хьюз Р., Гликопротеины, пер. с англ., М., 1985; Sharon N., Lis H., в кн.: Proteins, cd. by H. Neurath, R. Hill, v. 5, N.Y., 1982, p. 1-144. В. А. Деревицкая.