Аминокислоты

АМИНОКИСЛОТЫ, органические к-ты, содержащие одну или несколько аминогрупп. В зависимости от природы кислотной ф-ции аминокислоты подразделяют на аминокарбоновые, например H2N(CH2)5COOH, аминосульфоновые, например H2N(CH2)2SO3H, аминофосфоновые, например H2NCH[Р(О)(ОН)2]2, и аминоарсиновые, например H2NC6H4AsO3H2. Согласно правилам ИЮПАК, название

аминокислоты производят от названия соответствующей к-ты; взаимное расположение в углеродной цепи карбоксильной и аминной групп обозначают обычно цифрами, в нек-рых случаях - греч. буквами. Однако, как правило, пользуются тривиальными названиями аминокислот.

Структура и физические свойства. По физ. и ряду хим. свойств аминокислоты резко отличаются от соответствующих к-т и оснований (см. табл. 1 и 2). Они лучше раств. в воде, чем в орг. р-рителях; хорошо кристаллизуются; имеют высокую плотность и исключительно высокие т-ры плавления (часто разложения). Эти св-ва указывают на взаимод. аминных и кислотных групп, вследствие чего аминокислоты в твердом состоянии и в р-ре (в широком интервале рН) находятся в цвиттер-ионной форме. Напр., для глицина кислотно-основное равновесие:
Кислотно-основное равновесие глицина

Взаимное влияние групп особенно ярко проявляется у1025-33.jpg аминокислот, где обе группы находятся в непосредств. близости, а также у о- и n-аминобензойных к-т, где их взаимод. передается через систему сопряженных связей. Благодаря электроноакцепторным св-вам группы —1025-34.jpgН3 резко усиливается кислотность карбоксильных групп, напр. рКа глицина 2,34, тогда как уксусной к-ты 4,75,1025-35.jpgаланина 3,6. Аминогруппа подвергается взаимокомпенсируемому влиянию электроноакцепторной карбонильной группы и электронодонорного отрицательно заряженного атома кислорода, в результате чего, напр., основность аминогрупп аминоуксусной и n-аминобензойной к-т мало отличается от основности соотв. этиламина и анилина. Аминогруппа аминокислот ионизирована в несколько меньшей степени, чем карбоксильная группа, и водный р-р аминокислоты имеет слабокислый характер. Значение рН, при к-ром концентрация катионов аминокислоты равна концентрации анионов, наз. изоэлектрич. точкой (рI). Все аминокислоты в изоэлектрич. точке имеют минимум р-римости (в р-рах к-т и щелочей р-римость возрастает). Вблизи рI р-ры аминокислот обладают миним. буферным действием, а вблизи рК каждой функц. группы-максимальным.

Табл. 1 .- СВОЙСТВА L1025-36.jpgАМИНОКИСЛОТ
Свойства аминокислот
Свойства аминокислот

* В скобках дается однобукв. обозначение аминокислот, рекомендуемое ИЮПАК. ** Некодируемые аминокислоты: остальные кодируются генетич. кодом. *** Р-р в 1 н. НС1.

Табл. 2-СВОЙСТВА АМИНОКИСЛОТ
Свойства аминокислот
1026-1.jpg

Цвиттер-ионная структура аминокислот подтверждается их большим дипольным моментом (не менее 50*10-30 Кл*м), а также полосой поглощения 1610-1550 см -1 в ИК-спектре твердой аминокислоты или ее р-ра.

Все1026-2.jpg., кроме аминоуксусной (глицина), имеют асимметрии,1026-3.jpgуглеродный атом и существуют в виде двух энантиомеров. За редким исключением прир.1026-4.jpg. относятся к L-ряду (S-конфигурация) и имеют след. пространств. строение:

При переходе от нейтральных р-ров к кислым для аминокислот L-ряда увеличивается положит. вращение, для D-ряда-отрицательное. Гидроксипролин, треонин, изолейцин имеют два асимметрич. атома и образуют по две пары диастереомеров. Оптич. активность аминокислот сильно зависит от длины волны поляризованного света (дисперсия оптич. вращения). Как правило, аминокислоты более устойчивы к рацемизации, чем их производные. Повышенной конфигурационной стабильностью отличаются N-бензилоксикарбонильные производные аминокислот.

Расщепление рацематов аминокислот на оптич. антиподы производят затравочной кристаллизацией их солей с арилсулъфокислотами или кристаллизацией диастереомерных солей ацильных производных аминокислот с оптически активными основаниями или солей эфиров аминокислот с оптически активными к-тами. Часто используют энантиоселективный гидролиз ацилами-нокислот ацилазами или гидролиз эфиров аминокислот эстеразами, причем ферменты атакуют в первую очередь L-аминокислоты. Перспективно расщепление рацематов лигандообменной хроматографией. Хроматографию используют также для анализа энантиомерного состава аминокислот.

Химические свойства. Р-ции по карбоксильным группам аминокислот, аминогруппа к-рых защищена ацилированием или солеобразованием, протекают аналогично превращениям карбоновых к-т. Аминокислоты легко образуют соли, сложные эфиры, амиды, гидразиды, азиды, тиоэфиры, галогенангидриды, смешанные ангидриды и т.д. Эфиры аминокислот под действием натрия или магнийорг. соед. превращаются в аминоспирты. При сухой перегонке в присут. Ва(ОН)2 аминокислоты декарбоксилируются.

Р-ции аминогрупп аминокислот аналогичны превращениям аминов. Аминокислоты образуют соли с минер, к-тами и пикриновой к-той, легко ацилируются хлорангидридами к-т в водно-щелочном р-ре (р-ция Шоттена - Баумана) и алкилируются алкилгалогенидами. Метилиодид и диазометан превращают аминокислоты в бетаины1026-5.jpg . С формалином аминокислоты дают мегилольные или метиленовые производные, а в присут. муравьиной к-ты или каталитически активированного Н2-N,N-диметиламинокислоты. Под действием HNO2 ароматич. аминогруппы диазотируются, а алифатические замещаются на гидроксил. При обработке эфиров аминокислот изоцианатами и изотиоцианатами образуются производные мочевины и тиомочевины. При нагр. с содой или при одноврем. воздействии алкоголята и СО2 аминокислоты дают соли или эфиры N-карбоксипроизводных аминокислот, а при использовании CS2-аналогичные дитиокарбаматы.

Р-ции с одноврем. участием групп NH2 и СООН наиб. характерны для1026-6.jpg., к-рые способны образовывать устойчивые 5-членные гетероциклы. С ионами переходных металлов (Си, Zn, Ni, Co, Pb, Ag, Hg, Cr)1026-7.jpg. образуют прочные хелатные комплексы, что используется в комплексонах и в комплексообразующих ионообменных смолах на основе аминокарбоновых и аминофосфоновых к-т. При взаимод. с фосгеном1026-9.jpg. превращаются в циклич. ангидриды N-карбоксиаминокислот (ф-ла I), а при нагр. с уксусным ангидридом или ацетилхлоридом - в азлактоны (II); нагревание аминокислот с мочевиной или обработка изоцианатами дает гидантоины (III), а при использовании1026-11.jpg ., и особенно легко их эфиры, при нагр. превращаются в 2,5-пиперазиндионы, или дикетопиперазины (V).1026-12.jpg. при нагр. дезаминируются и образуют1026-13.jpg-ненасыщенные к-ты,1026-14.jpg и1026-15.jpg. отщепляют воду и образуют 5- и 6-членные лактамы.1026-16.jpgАминокапроновая к-та при нагр. образует в осн. полиамид и лишь частично превращ. в капролактам, что характерно и для аминокислот с большим числом метиленовых звеньев между функц. группами. Бетаины1026-17.jpg. при нагр. могут обратимо превращ. в эфиры диметиламинокислот, напр.:1026-18.jpg . При элиминировании триметиламина оетаины1026-19.jpg. превращ. в ненасыщ. к-ты,1026-20.jpg и1026-21.jpg-бетаины-в циклич. лактоны. При окислении1026-22.jpg . образуют альдегиды с укороченной углеродной цепочкой. Из-за положит. заряда на четвертичном атоме N бетаины не образуют солей со щелочами. По аналогичной причине аминосульфоновые и аминофосфоновые к-ты не образуют солей с к-тами.арилизотиоцианатовтиогидантоины (IV).
1026-8.jpg

1026-10.jpg

Анализ. Обычно анализ1026-23.jpg. основан на взаимод. с нингидрином, в результате к-рого аминокислота расщепляется до альдегида, СО2 и NH3, a NH3 образует с нингидрином фиолетовый краситель. Для количеств. определения измеряют объем выделившегося СО2 или, чаще, фотометрируют образующийся краситель. Последний метод используется в автоматич. хроматографах, позволяющих разделять на сульфокатионитах и количественно анализировать сложные смеси аминокислот и пептидов. Еще более чувствителен флуоресцентный анализ продуктов реакции аминокислот с о-фталевым диальдегидом. Быстро развивается лигандообменный хроматографический анализ аминокислот и пептидов на силикагельных сорбентах в присутствии ионов меди. Бумажная и тонкослойная хроматография чаще используются для качественного анализа. Измерение объема N2, выделяющегося при дезаминировании аминокислот азотистой к-той, а также титрование аминокислот щелочью в избытке формалина (методы Ван Слайка и Сёренсена) сохранили лишь историческое значение.

Получение.1026-24.jpg. получают галогенированием карбоновых к-т или эфиров в1026-25.jpg-положение с послед. заменой галогена на аминогруппу при обработке амином, аммиаком или фталимидом калия (по Габриелю).

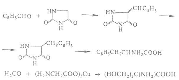
По Штреккеру - Зелинскому1026-26.jpg. получают из альдегидов:
1026-27.jpg

Этот метод позволяет также получать нитрилы и амиды соответствующих1026-28.jpg. По сходному механизму протекает образование1026-29.jpg-аминофосфоновых к-т по р-ции Кабачника-Филдса, напр.:
1026-30.jpg

В этой р-ции вместо альдегидов м. б. использованы кетоны, а вместо диалкилфосфитов - диалкилтиофосфиты, кислые эфиры алкил(арил)фосфонистых к-т RP(OH)OR и диарилфосфиноксиды Аr2НРО. Таким путем получен широкий набор комплексонов.

Альдегиды и кетоны или их более активные производные - кетзли служат исходными соед. для синтеза1026-31.jpgаминокислот с увеличением числа углеродных атомов на две единицы. Для этого их конденсируют с циклич. производными аминоуксусной к-ты - азалакгонами, гидантоинами, тиогидантоинами, 2,5-пиперазиндионами или с ее медными или кобальтовыми хелатами, напр.:
1026-32.jpg

Удобные предшественники1026-33.jpg.-аминомалоновый эфир и нитроуксусный эфир. К их1026-34.jpgуглеродным атомам можно предварительно ввести желаемые радикалы методами алкилирования или конденсации.1026-35.jpgКетокислоты превращ. в1026-36.jpg. гидрированием в присут. NH3 или гидрированием их оксимов или гидразонов.

Нек-рые L1026-37.jpgаминокислоты ввиду сложности синтеза и разделения оптич. изомеров получают микробиол. способом (лизин, триптофан, треонин) или выделяют из гидролизатов прир. белковых продуктов (пролин, цистин, аргинин, гистидин). Перспективны смешанные химически-ферментативные способы синтеза, напр.:
Синтез L-лизина

1026-39.jpg Аминосульфоновые к-ты получают при обработке аммиаком продуктов присоединения NaHSO3 к альдегидам:
1026-40.jpg

1026-41.jpg . синтезируют присоединением NH3 или аминов к1026-42.jpg ненасыщенным к-там, а также по методу Родионова - конденсацией альдегидов с малоновой к-той в присут. NH3:
1026-43.jpg

1026-44.jpg . получают гидролизом соответствующих лактамов (напр.,1026-45.jpgкапролактама), к-рые образуются в результате перегруппировки Бекмана из оксимов циклич. кетонов под действием H2SO4.1026-46.jpgАминоэнантовую,1026-47.jpgаминопеларгоновую и1026-48.jpgаминоундекановую к-ты синтезируют из1026-49.jpg тетрахлоралканов путем их гидролиза конц. H2SO4 до1026-50.jpg хлоралкановых к-т с послед. аммонолизом:
1026-51.jpg

Исходные тетрахлоралканы получают теломеризациеи этилена с СС14.

Ароматические аминокислоты синтезируют восстановлением нитробензойных к-т или окислением толуидинов после предварит. бензоилирования аминогруппы. Антраниловую к-ту получают из фталевого ангидрида:
Синтез ароматических аминокислот

Для синтеза1026-53.jpg., меченных изотопами 15N и 14С, обычно пользуются методами Габриеля и Штреккера соответственно. Меченные 3Н аминокислоты получают из ненасыщ. предшественников.

Сульфаниловая к-та образуется при нагр. сульфата анилина до 180°С. Ее мета-изомер получают сульфированием нитробензола с послед. восстановлением нитрогруппы.

Применение. Наиб. интерес представляют 20 L1026-54.jpgаминокислот (аланин, аргинин, аспарагин и др.), входящих в состав белковых молекул. Смеси L-аминокислот., а также индивидуальные аминокислоты (напр., метионин)применяют в медицине для парэнтерального питания больных с заболеваниями пищеварит. и др. органов, при нарушениях обмена в-в и др.; лизин, метионин, треонин, триптофан - в животноводстве для обогащения кормов; глутамат натрия и лизин - в пищ. пром-сти.1026-55.jpg. и их лактамы служат для пром. произ-ва полиамидов.1026-56.jpgАминомасляная к-та (аминалон) - медиатор в центр. нервной системе, применяется как лек. ср-во при сосудистых заболеваниях головного мозга. Ароматич. аминокислоты используют в синтезе красителей и лек. ср-в. На основе аминокарбоновых и аминофосфоновых к-т синтезируют селективные комплексоны, комплексообразующие иониты, лигандообменные сорбенты, ПАВ.

Литература

Гринштейн Дж., ВиницМ., Химия аминокислот и пептидов, пер. с англ., [М.], 1965; Шредер Э., Любке К., Пептиды, пер. с англ., т. 1-2, М., 1967-69; Кабачник М.И. [и др.], "Успехи химии", 1968, т. 37, в. 7, с. 1161-91; Химия полипептидов, пер. с англ., М., 1977. См. также лит. при ст. Белки. В. А. Даванков.

Ещё по теме
Аминокислоты — свойства и функции
Аминокислоты — строение, свойства и применение
Аминокислоты — структура и роль в природе
Свойства аминокислот и их кислотно-основные характеристики
Классификация аминокислот и их роль в биологии
Свойства аминокислот — кислотно-основные и оптические
Химические реакции аминокислот — механизмы и производные
Аминокислоты — основные понятия и функции
Протеиногенные аминокислоты — строение и классификация
Стереохимия аминокислот — оптические изомеры и методы разделения
Оксиаминокислоты в белках — свойства и синтез
Природные аминокислоты — состав и роль в организмах
Амины жирного ряда — свойства, токсичность, применение
Химические свойства аминов
Аминокислотный состав белков — история и методы изучения
Полипептиды — строение и образование пептидной связи