Лактамы

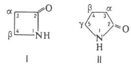
ЛАКТАМЫ (от лат. lac, род. падеж lactis - молоко), внутренние амиды аминокислот, содержащие в цикле группировку —С(О) — NR—, где R-H или орг. радикал. В зависимости от числа атомов в цикле различают a-лактамы (3 атома), b-лактамы (4), g-лактамы (5) и т.д. По номенклатуре ИЮПАК, назв. лактамов производят от назв. соответствующих гетероциклов. Допускается также наименование лактамов, основанное на назв. соответствующих алифатич. к-т с добавлением окончания "лактам". В этом случае место замыкания цикла указывается греч. буквой. Так, соед. I наз. 2-азетидинон, или b-пропиолактам, соед. II-2-пирролидон, или g-бутиролактам.

СВОЙСТВА НЕКОТОРЫХ ЛАКТАМОВ
561_579-9.jpg
Лактамы - кристаллы; хорошо раств. в орг. р-рителях и воде (см. табл.); амфотерны. В р-рах существуют в виде ассоциатов вследствие образования водородных связей. ИК спектры лактамов с 3-8 атомами в цикле имеют характеристич. полосы в области 3175-3220 (N—Н), 1700-1780 см-1 (С=О); для лактамов с 9 и более атомами - в области 3220-3270 (N—Н) и 1680 см-1 (С=О). По хим. св-вам лактамы во многом подобны амидам карбоновых кислот. Хим. превращения лактамов могут происходить с раскрытием или без раскрытия цикла. К первой группе р-ций относятся кислотный и щелочнойгидролиз,
561_579-10.jpg
взаимод. с аминами и гидроксиламином, алкоголиз, полимеризация:
561_579-11.jpg

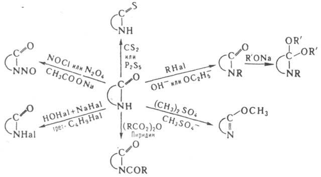
Условия проведения этих р-ций зависят от размера цикла, а также от кол-ва и положения заместителей в нем. наиб. устойчивы к действию нуклеоф. реагентов 5- и 6-членные лактамы, наименее - 3- и 4-члeнные. Лактамы, замещенные по атому N, более устойчивы к действию нуклеоф. агентов, чем незамещенные. Полимеризация лактамов протекает под действием катализаторов катионного и анионного типов; легче всего полимеризуются 7-9-членные лактамы. Лактамный цикл не раскрывается в р-циях алкилирования, ацилирования, галогенирования, нитрозирования и при разл. превращ., в к-рых участвует карбонильная группа, напр.:
561_579-12.jpg
Лактамы, замещенные по атому N, алкилируются по соседнему с карбонильной группой атому С, напр.:
561_579-13.jpg
При окислении пероксидисульфатами, орг. надкислотами или Н2О2 в присут. ионов переходных металлов лактамы превращ. в циклич. имиды, напр.:
561_579-14.jpg
Под действием разл. восстановителей (АlН3, ВН3, LiAlH4 и др.) лактамы превращ. в циклич. амины; при восстановлении NaBH4 необходимо предварительно превратить амидную группу в соль О-этиллактима:
561_579-15.jpg
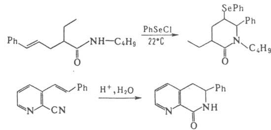
Восстановление напряженных 3- и 4-членных циклов сопровождается расщеплением амидной связи, напр.:
561_579-16.jpg
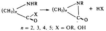
Общие методы синтеза лактамов: 1. Внутримол. циклизация аминокислот и их эфиров:
561_579-17.jpg
Последние генерируют in situ восстановлением к-т и сложных эфиров, имеющих нитро- или нитрильную группу, а также восстановит. аминированием кетокислот и нек-рыми др. способами, напр.:
561_579-18.jpg
2. Расширение цикла кетонов Бекмана перегруппировкой или Шмидта реакцией; используется гл. обр. для пром. синтеза e-капролактама, а также для получения лактамов с числом атомов в цикле >9. 3-Членные лактамы синтезируют из a- и N-галогенамидов под действием оснований или из N-неопентилиден-трет-бутиламина с участием дихлоркарбена, напр.:
561_579-19.jpg
Осн. методы получения 4-членных лактамов - конденсация кетенов с иминами, циклизация эфиров b-аминокислот под действием реактивов Гриньяра, взаимод. иминов с эфирами a-галогенокислот (Реформатского реакция), напр.:
561_579-20.jpg
Др. методы синтеза этих лактамов: дегидрогалогенирование N-a-галогенациламиномалоновых эфиров в присут. катализаторов основного характера; обработка амидов b-галогенкарбоновых к-т амидом калия; взаимод. b,b-дизамещенных енаминов с арилизоцианатами. 2-Пирролидон и его замещенные м.б. синтезированы след. образом:
561_579-21.jpg
Для синтеза лактамов с числом атомов в цикле >5 используют след. р-ции:
561_579-22.jpg
Мн. лактамы - биологически активные в-ва; в частности, b-лактамы входят в состав лактамных антибиотиков. В пром-сти лактамы используют гл. обр. для произ-ва полиамидных волокон. Кроме того, лактамы - неокрашивающие антиозонанты для натурального и синтетич. каучуков, компоненты нек-рых детергентов для стирки полиэфирных тканей; водные р-ры noлu-N-вuнилnuppoлuдoнa- заменители плазмы крови. См. также 1-Винил-2-пирролидон, N-Метилпирролидон.
Литература
Общая органическая химия, пер. с англ., т. 4, М., 1983; Rodd's chemistry of carbon compounds, 2 ed., ed. by S. Cofley, v. 1, pt A-D, Arnst., 1964-65.
A. M. Сахаров.