Шмидта реакция

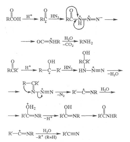
ШМИДТА РЕАКЦИЯ, взаимод. карбонильных соед. с азотистоводородной к-той HN3 в присут. сильных к-т с образованием аминов (из карбоновых к-т), амидов (из кетонов) или нитрилов (из альдегидов):

6026-15.jpg

Обычно Шмидта реакцию проводят в среде р-рителя (напр., СНС13, С6Н6), добавляя NaN3 или р-р HN3 к смеси карбонильного соед. с конц. H2SO4 (вместо последней иногда используют НС1, CF3COOH, к-ты Льюиса и др.). Выходы колеблются в очень широких пределах, в случае гладко реагирующих карбоновых к-т и кетонов приближаясь к количественным.
В Шмидта реакции более активны алифатич. и алициклич. соед., причем альдегиды и кетоны реагируют легче к-т (благодаря этому из кетокислот можно получать продукты р-ции только по кетогруппе). Циклич. кетоны в условиях Шмидта реакции дают лактамы, алкиларилкетоны - преимущественно N-ариламиды. Многие a-замещенные карбоновые к-ты (напр., глицин, a-аланин, гиппуровая, фенилуксусная и др.) в Шмидта реакцию не вступают.
Альдегиды и кетоны в условиях Шмидта реакции часто образуют в качестве побочных продуктов тетразолы; последние как основной продукт образуются при использовании избытка HN3, напр.:

6026-16.jpg

При проведении р-ции с a-галогенкарбоновыми к-тами в заметной степени идут процессы дегидрогалогенирования.
Считается, что Шмидта реакция протекает через стадию образования протонированного азида, в случае карбоновых к-т образованию последнего предшествует стадия ацильного расщепления:

6026-17.jpg

К модификациям Шмидта реакции относят взаимод. HN3 с нек-рыми производными карбоновых к-т (напр., ангидриды, хлорангидриды, сложные эфиры дают с низкими выходами амины), хинонами (дают ароматич. амины, иногда азиды или азотсодержащие гетероциклы), HCN, цианидами, оксимами, амидоксимами, лактамами, хлорангидридами гидроксамовых к-т, имидохлоридами и имидоэфирами (все дают с хорошими выходами тетразолы). Спирты и алифатич. ненасыщ. соед. дают с HN3 основания Шиффа.
Недостаток Шмидта реакции - необходимость (в большинстве случаев) ее осуществления в сильно кислой среде, что может способствовать протеканию побочных процессов. В то же время Шмидта реакция имеет преимущества в синтезе аминов перед р-цией Курциуса и перегруппировкой Гофмана (см. Гофмана реакции)благодаря простоте эксперимента и часто более высоким выходам конечных продуктов.
Шмидта реакцию используют в препаративной практике, а также при исследовании структуры сложных орг. соед. Р-ция открыта К. Шмидтом в 1923.

Лит.: Вольф Г., в сб.: Органические реакция, пер. с англ., сб. 3, М., 1951, с. 293-321;Органикум, пер. с нем.,ч.2,М., 1979, с. 277-80; Марч Дж., Органическая химия, пер. с англ., т. 4, М., 1988, с. 159-61.

Г. И. Дрозд.

Синонимы/примеры:* Реакция Шмидта;
*подобраны ИИ, возможны неточности