Клайзена-Шмидта реакция
КЛАЙЗЕНА-ШМИДТА РЕАКЦИЯ, конденсация ароматич. альдегидов с алифатич. (жирно-ароматич.) альдегидами или кетонами в присут. водных р-ров щелочей с образованием a,b-ненасыщенных альдегидов или кетонов:
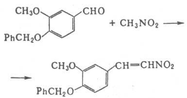
Процесс проводят в тех же условиях, что и кротоновую конденсацию (Клайзена - Шмидта реакция - частный случай этой р-ции). Электронодонорные заместители в бензольном кольце ароматич. альдегида понижают его реакц. способность. Так, n-метоксибензальдегид реагирует в 7 раз медленнее, чем бензальдегид. Побочная р-ция - самоконденсация алифатич. альдегидов. Выход ненасыщ. альдегидов или кетонов 60-80%. В р-цию, подобную Клайзена - Шмидта реакции, вступают нитроалканы с ароматич. альдегидами в присут. щелочей с образованием нитростиролов, напр.:
Циклизацией продуктов, образующихся в Клайзена - Шмидта реакции, получают гетероциклич. соед., напр.:
Клайзена - Шмидта реакцию используют для защиты активной метиленовой группы, напр. при введении ангулярной метальной группы в бицикло[4.4.0]декан-l-он:

Р-ция открыта в 1881 Л. Клайзеном и независимо Я. Шмидтом. Лит.. Серрей А., Справочник по органическим реакциям, пер. с англ., М., 1962, с. 145-46. См. также лит. при ст. Кретоновая конденсация. С. К. Смирнов.
*Подобраны с помощью LLM, верифицированы, но возможны неточности.
Ещё по теме
Клайзена конденсация — способ получения органических соединений
Клайзена перегруппировка — суть и значение в химии
Шоттена — Баумана реакция — особенности и применение
Шмидта реакция — особенности и применение
Реакция Блана — введение хлорметильной группы в ароматические соединения
Штоббе конденсация — механизм и применение в органическом синтезе
Канниццаро реакция — механизм и применение
Реакция Ниренштайна — особенности и применение
Реакция Штиглица — перегруппировка триарилметилгидроксиламинов
Реакция Финкельштайна — особенности и применение
Реакция Розенмунда — особенности и применение
Кневенагеля реакция — метод органического синтеза
Дополнения к описанию реакции Клайзена-Шмидта: