Штоббе конденсация

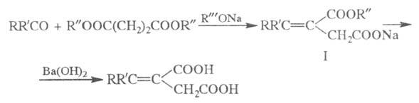
ШТОББЕ КОНДЕНСАЦИЯ, взаимод. альдегидов или кетонов с эфирами янтарной к-ты (сукцинатами) в присут. оснований с образованием алкилиденянтарных к-т:

6026-45.jpg

В р-цию вступают алифатич. и ароматич. альдегиды и кетоны, алициклич. кетоны,6026-46.jpg-ненасыщ. альдегиды, дикетоны, кетоэфиры. В качестве конденсир. ср-в обычно применяют C2Н5ONa, mpеm-C4H9OK и NaH, реже - CH3ONa, C2HSOK, Na, Ph3CNa.
Обычно смесь кетона или альдегида, диалкилсукцината и алкоголята Na в эфире выдерживают неск. суток при т-ре от -15 до 25 °С и кратковременно нагревают смесь до кипения (иногда с целью сокращения времени проведения р-ции и снижения выхода побочных продуктов, в качестве р-рителя используют спирт, напр. этиловый, и нагревание смеси начинают сразу после ее приготовления). Продукты р-ции гидролизуют, затем подкисляют и выделяют моноэфир алкилиденянтарной к-ты (ф-ла I). Для омыления второй эфирной группы моноэфир обрабатывают Ва(ОН)2 или NaOH. Выходы обычно составляют 40-90%; как правило, лучшие результаты удается достичь при использовании диметилсукцината и mpem-бутилата Na в mpem-C4H9OH.
Осн. побочные процессы - восстановление кетонов в спирты, Клайзена конденсация, Канниццаро реакция, альдольная конденсация, образование (преимущественно в мягких условиях) диалкилиденянтарных (фульгеновых) к-т. Ароматич. альдегиды АrСНО иногда дают значит. кол-ва производных параконовой к-ты (ф-лы II и III). Кетоны, имеющие один и более атомов Н при a-атоме С обычно на первой стадии Штоббе конденсации дают алкенилянтарные эфиры R'CH = C(R)CH(COOC2H5)CH2COOH.

6026-47.jpg

Механизм р-ции включает взаимод. диалкилсукцината с анионом- с образованием соответствующего карбаниона. Последний атакует атом С карбонильной группы альдегида или кетона с образованием нового аниона, стабилизирующегося в результате образования циклич. структуры лактона (его можно выделить), к-рый подвергается гидролизу:

6026-48.jpg

В конденсацию, аналогичную Штоббе конденсации, вступает также ди-трет-бутиловый эфир глутаровой к-ты. Соответствующие бензилиденовые производные образуются при конденсации PhCHO с эфирами6026-49.jpg-бензоилпропионовой, 1,2,3-пропантрикарбоновой (трикарбаллиловой),6026-50.jpg-(3,4-диметоксибензоил)-пропионовой (6026-51.jpg-вератроилпропионовой) и тиодигликолевой к-т.
Штоббе конденсацию используют в синтезе ненасыщ. и насыщ. (продукты гидрирования первых) замещенных производных янтарной к-ты (лактонов, инданонов, тетралонов, полициклич. ароматич. соед., родственных стероидам).
Р-ция открыта Г. Штоббе в 1893.

Лит.: Джонсон У., Доб Г., в сб.: Органические реакции, пер. с англ., сб. 6, М., 1953, с. 7; Martelli J. [а. о.], "Tetrahedron", 1974, № 17, р. 3063.

Г. И. Дрозд.

Ещё по теме
Клайзена конденсация — особенности и применение в органическом синтезе
Альдольная конденсация — механизм и применение
Клайзена конденсация — способ получения органических соединений
Альдольная конденсация — механизм и применение в химии
Механизм сложноэфирной конденсации
Реакции полимеризации и конденсации карбонильных соединений
Конденсации реакции в органической химии
Бензоиновая конденсация — особенности и применение
Кротоновая конденсация — особенности и применение
Дегидратация в химии — механизмы и примеры
Кротоновая конденсация — механизм и применение
Дегидрополиконденсация — основы процесса и примеры применения
Бензоиновая конденсация — механизм и применение
Ацилоиновая конденсация — механизм и применение
Конденсационные реакции в органической химии
Декарбоксилирование — процессы и примеры реакций
Методы получения оксиальдегидов и моносахаридов