VI. Реакции полимеризации и конденсации
Соединения, содержащие карбонильную группу, особенно альдегиды, чрезвычайно легко вступают в различные реакции уплотнения, которые, в основном, разделяют нареакции полимеризации и конденсации.
Следует указать, что понятия, вкладываемые во все эти термины, не вполне строги и разными авторами трактуются не вполне однозначно. Так, если при уплотнении получаются соединения, имеющие тот же состав, но более высокий молекулярный вес, то подобные реакции обычно называются реакциями полимеризации. Между тем некоторые исследователи распространяют этот термин только на реакции, протекающие с участием большого числа молекул и приводящие к образованию высокомолекулярных соединений, особо выделяя те реакции уплотнения, в которых участвуют две, три и т. д. молекулы (реакции димеризации, тримеризации и т. п.). Однако с химической точки зрения во всех случаях протекает одна и та же реакция, а потому димеризацию, тримеризацию и т. п. следует рассматривать лишь как простейшие случаи полимеризации.
Реакции уплотнения, при которых из меньших молекул образуются большие с потерей части атомов в результате выделения воды, галоидоводорода, спирта или других сравнительно простых молекул, называются реакциями конденсации. Этот термин также не вполне однозначен. С одной стороны, альдольную конденсацию (см. ниже), протекающую без отщепления каких-либо простых молекул, согласно приведенному выше определению, следовало бы отнести к реакциям полимеризации (причем это не единственный случай). С другой стороны, одни химики относят к реакциям конденсации только те реакции уплотнения, при которых образуются новые связи между углеродными атомами отдельных молекул, а другие химики считают это ограничение излишним. Однако следует указать, что такое расширенное понятие конденсации вносит известную неопределенность, так как под него подпадают такие реакции, как превращение спиртов в эфиры, кислот — в ангидриды, образование сложных эфиров из кислот и спиртов и много других. В результате понятие «конденсация» становится слишком всеобъемлющим. Поэтому в дальнейшем изложении под конденсацией подразумеваются только реакции уплотнения, приводящие к образованию новых углерод-углеродных связей.
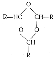
Реакции полимеризации альдегидов могут приводить к образованию полимерных соединений, в которых несколько молекул альдегида связано либо через посредство атомов кислорода, либо с образованием новых углерод-углеродных связей. Те реакции, при которых в образующихся полимерных соединениях связь между отдельными молекулами осуществляется при посредстве атомов кислорода, часто протекают под влиянием кислот (соляной, серной). При этом иногда получаются продукты утроенного молекулярного веса, имеющие следующее строение:

Эти продукты обыкновенно уже при простом нагревании (легче в присутствии следов минеральных кислот) распадаются с образованием молекул исходных альдегидов. Такая реакция, обратная реакции полимеризации, называется деполимеризацией.
Когда уплотнение карбонилсодержаших соединений протекает с образованием новых углерод-углеродных связей, атом водорода, входящий в метильную или метиленовую группу, соседнюю с карбонильной группой, связывается с атомом кислорода карбонильной группы второй молекулы альдегида или кетона. Например, конденсация уксусного альдегида может быть выражена следующим уравнением:

Образующееся вещество, содержащее одновременно альдегидную группу и гидроксильную (алкогольную) группу, было названо альдолем, а конденсация этого типа называется альдольной конденсацией.
Аналогичной конденсацией ацетона получается диацетоновый алкоголь:

Эти реакции конденсации всегда идут с участием атомов водорода, стоящих у углеродного атома, соседнего с карбонильной группой, т. е. в α-положении. Подвижность этих водородных атомов, способных отщепляться в виде протонов, обусловлена ослаблением их связи с атомом углерода в результате смещения электронного облака σ-связей по направлению к кислородному атому карбонильной группы. Это может быть изображено схемой

Роль щелочных катализаторов состоит в том, что гидроксильные ионы способствуют отрыву протона, например:

При конденсации ацетона или метилэтилкетона с формальдегидом, легко протекающей под влиянием небольших количеств едких щелочей, образуются бутанол-1-он-3 (β-ацетоэтиловый спирт) и 2-метилбутанол-1-он-3 (β-ацетопропиловый спирт):

С избытком формальдегида реакция может идти и дальше, если у атома углерода, находящегося по соседству с карбонильной группой, имеется еще один атом водорода. Например:

В других условиях при реакции конденсации может происходить отщепление молекулы воды с образованием этиленовой, или двойной, углерод-углеродной связи, например:

Так как вещество, получаемое этим путем из уксусного альдегида, называется кротоновым альдегидом, то этот тип конденсации называется конденсацией типа кротонового альдегида или кротоновой конденсацией.
Кротоновый альдегид способен конденсироваться еще с одной молекулой уксусного альдегида, давая сорбиновый альдегид

который может конденсироваться еще дальше:

и т. д.
Этим путем удалось подойти к синтезу полиенов — соединений с большим числом двойных связей.
Конденсация типа кротонового альдегида легко происходит и для кетонов, например:

Альдегиды могут также вступать в реакции конденсации с кетонами и с другими веществами, принадлежащими как к жирному, так и особенно к ароматическому ряду, — с углеводородами, аминами, нитросоединениями, кислотами, сложными эфирами и пр., например: