Кротоновый альдегид
КРОТОНОВЫЙ АЛЬДЕГИД (2-бутеналь) СН3СН=СНСНО, мол. м. 70,1. транс-Кротоновый альдегид-бесцв. жидкость с резким запахом; т. пл. — 76,6 °С, т. кип. 104 °С; d425 0,8495; nD20 1,4366; раств. в этаноле, диэтиловом эфире, ацетоне, бензолe, р-римость в 100 г воды - 19,2 г при 5 °С, 18,1 г при 20 °С. Образует азеотропную смесь с водой (т. кип. 84 oС, 75,7% кротонового альдегида). циc-Кротоновый альдегид малоустойчив, легко превращ. в mранc-изомер. По хим. св-вам кротоновый альдегид подобен акролеину. На воздухе постепенно окисляется. В зависимости от условий р-ции м. б. окислен до кретоновой, малеиновой, уксусной или щавелевой к-т. При восстановлении кротонового альдегида в присут. NaBH4 или алкоголятов Аl образуется кротиловый спирт СН3СН=СНСН2ОН, при жидкофазном гидрировании в присут. комплексов металлов VIII гр. избирательно восстанавливается двойная связь.
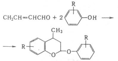
При взаимод. с замещенными фенола в СН3СООН кротоновый альдегид дает производные 2-фенокси-4-метилхромана:
Кротоновый альдегид быстро димеризуется и полимеризуется при хранении; с непредельными соед., аминами, спиртами образует сополимеры, напр. со стиролом -термопластичный сополимер. В пром-сти кротоновый альдегид получают кретоновой конденсацией ацетальдегида: 2СН3СНО:СН3СH(ОH)СH2СНО:СН3СН=СНСНО Он м. б. получен также пиролизом смеси солей кротоновой и муравьиной к-т, отщеплением галогсноводорода от b-галогеномасляного альдегида и изомеризацией 2-бутен-1,4-диола. Для идентификации кротонового альдегида используют оксим, т. пл. 119-120СС, семикарбазон, т. пл. 198-199 °С, 2,4-динитрофенилгидразон, т. пл. 190 oС. Кротоновый альдегид определяют потенциометрич. титрованием Вr2 в CII3OH. Кротоновый альдегид используют для получения бутанола, кротоновой и сорбиновой к-т, хинальдина. Сополимер кротонового альдегида с 1-винил-2-пирролидоном - антикоагулянт крови. Т. воспл. +8 °С, КПВ 2,95-15,5% по объему. Кротоновый альдегид - сильный лакриматор, при попадании на кожу вызывает местную воспалит. р-цию с послед. изъязвлением верх. слоя кожи; ПДК 0,5 мг/м3.
Литература
Kirk Othmer encyclopedia, 3 ed., v. 7, N.Y., 1979, p. 207 18.
Синонимы/примеры:*
Кротональдегид; 2-бутеналь; β-метакролеин
*подобраны ИИ, возможны неточности
Ещё по теме
Ненасыщенные альдегиды и кетоны — свойства и применение
Коричный альдегид — основные характеристики
Коричный альдегид — характеристики и применение
Пропионовый альдегид — характеристики и применение
Кротоновые кислоты — свойства и применение
Оксиальдегиды и оксикетоны — свойства и применение
Куминовый альдегид — характеристики и применение
Формальдегид — свойства и применение
Тиоформальдегид — особенности и применение
Кетоноальдегиды — свойства и получение
Кротоновая конденсация — механизм и применение