Манниха реакция

МАННИХА РЕАКЦИЯ, аминометилирование соед. с подвижным атомом водорода под действием формальдегида и в осн. вторичных аминов с образованием т. наз. оснований Манниха:
622_640-62.jpg
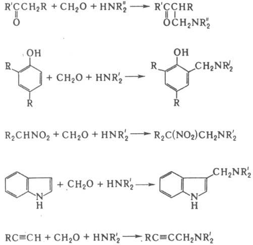
Первичные амины и аммиак реагируют аналогично, однако образующиеся продукты способны к дальнейшим превращениям. Обычно Манниха реакцию проводят в присут. к-т, реже - оснований. Наиб. используемые р-рители - спирты, Н2О, СН3СООН, нитробензол. В качестве соед., содержащих подвижный атом Н, используют, как правило, альдегиды, кетоны, карбоновые к-ты и их производные, фенолы, нитроалканы, гетероциклич. соед., производные ацетилена, синильную к-ту, напр.:
622_640-63.jpg
В нек-рых случаях вместо СН2О применяют алифатич. и ароматич. альдегиды и кетоны. Диальдегиды вступают в двойную конденсацию Манниха, напр., в синтезе алкалоида тропинона:
622_640-64.jpg
При использовании в качестве соед. с подвижным атомом Н спиртов, аминов, тиолов, фосфинов и др. р-ция протекает соотв. как О-, N-, S- или Р-аминометилирование, напр.:

RОН + СН2О + HNR'2 : ROCH2NR'2;

R2NH + СН2O + HNR'2 : R2NCH2NR'2;

PH3 + CH2O + HNR2 : P(CH2NR2)3

Предполагают, что Манниха реакция протекает через иминиевые соли, образующиеся из СН2О и амина и реагирующие затем с образованием аминопроизводного, напр.:
622_640-65.jpg
Иногда в Манниха реакцию вводят заранее приготовленную соль иминия, напр. CH2=NCH3 Cl-, что облегчает проведение аминометилирования. Основания Манниха - промежут. продукты при получении ненасыщ. кетонов, альдегидов, нитросоединений и гетероциклов. Р-ция применяется в синтезе прир. в-в и лек. препаратов. Открыта К. Маннихом в 1917.

Литература
Вацуро К. В., Мищенко Г. Л., Именные реакции в органической химии, М., 1976, с. 268-69; Общая органическая химия, пер. с англ., т. 2, М., 1982, с. 524, 561, 603-04; Tramontini М., "Synthesis", 1973, № 12, р. 703-75.
Е. Г. Тер-Габриэлян.

Синонимы/примеры:* Реакция Манниха; Аминометилирование; Реакция аминометилирования
*подобраны ИИ, возможны неточности