Толуидины
ТОЛУИДИНЫ (аминотолуолы, метиланилины, толиламины), мол. м. 107,15. Различают 2-, 3- и 4-аминотолуолы, соотв. о-, м- и п-толуидины (см. табл.).

Толуидины хорошо раств. в этаноле, диэтиловом эфире, ацетоне, СНСl3, плохо-в воде (1,69% о-толуидина, 0,74% п-толуидина при 20 °С). Перегоняются с водяным паром, при хранении на свету в присут. воздуха темнеют.
Толуидины обладают св-вами ароматич. аминов. Легко образуют соли, окисляются, диазотируются, вступают в р-ции электроф. замещения. В последнем случае замещение идет в орто- и пара-положения относительно аминогруппы, напр. при метилировании толуидинов нагреванием с СН3ОН и НСl в автоклаве при 200-250 °С. При нагр. до 300 °С группа СН3 вступает и в мета-положение, как, напр., при синтезе 2,4,6-триметиланилина (мезидина) из о-толуидина:

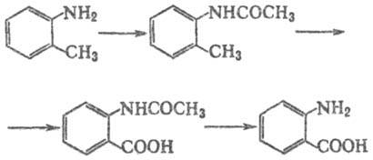
В тех случаях, когда необходимо окислить метальную группу в толуидинах, аминогруппу предварительно защищают ацилированием; таким образом из о-толуидина может быть получена, напр., антраниловая к-та:

В пром-сти толуидины получают гидрированием соответствующих нитротолуолов (кат. -Ni, Pd, Cu).
Применяют толуидины и их производные (гл. обр. нитропроизвод-ные) для получения аминотолуолсульфокислот, крезолов, азокрасителей, трифенилметановых и сернистых красителей. п-Толуидин входит в состав мн. ингибиторов коррозии, м-толуидин используют для получения 3-хлортолуола, как аналит. реагент для определения нитритов, о- и п-толуидины-для колориметрич. определения Сl2 и Н2О2.
Толуидины ядовиты, проникают через кожу (наиб. токсичен п-толуидин, вызывающий опухоли мочевого пузыря). ЛД50 для о-, м-и n-толуидинов соотв. 0,55, 0,74 и 0,30 г/кг (белые мыши, внутри-желудочно); ПДК в атмосфере 0,05-0,1 мг/м3, в воздухе рабочей зоны 1 мг/м3.
Лит.: Kirk-Othmer encyclopedia, 3 ed., v. 2, N. Y., 1978, r. 309-29.
Г.И. Пуца.