Аминотолуолсульфокислоты

АМИНОТОЛУОЛСУЛЬФОКИСЛОТЫ. Практич. значение имеют 2-аминотолуол-5-, З-аминотолуол-6-, 4-аминотолуол-2- и 4-аминотолуол-З-сульфокислоты (мол. м. 187, 22) - бесцв. кристаллы
1027-16.jpg

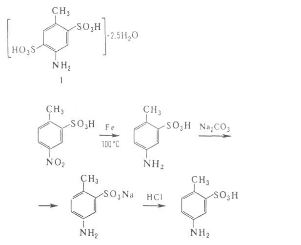
(чаще всего существуют в виде моногидратов]; К соотв. 7,5*10-4, 3,57 *10-4, 2,5*10-4 и 8,5*10-4; плохо раств. в воде (0,4-0,9 г в 100 г при 25°С), хорошо - в растворах щелочей. При плавлении разлагаются выше 300°С. В пром-сти используется также 4-аминотолуол-2,5-дисульфокислота (ф-ла I; мол. м. 265,25) - бесцв. кристаллы; раств. в воде, хуже - в спирте. 4- Аминотолуол - 2 - сульфокислоту получают по схеме. Остальные моносульфокислоты синтезируют сульфированием 2-, 3- или 4-аминотолуола 98%-ной H2SO4 при 175°С в среде о-дихлорбензола с послед. нейтрализацией полученных сульфокислот р-ром NaOH и выделением их Na-солей; выходы 90-92%. 4-Аминотолуол-2,5-дисульфокислоту синтезируют сульфированием 4-аминотолуола 65%-ным олеумом при 150°С с послед. нейтрализацией NaOH и выделением ее мононатриевой соли.
1027-17.jpg

Аминотолуолсульфокислоты (в т.ч. и дисульфокислота) - промежут. продукты в произ-ве красителей и пигментов. г. и. Пуца.

Комментарии*

Дополнения к описанию аминотолуолсульфокислот:

  • Более точное определение: Это ароматические соединения, содержащие одновременно аминогруппу (-NH₂) и сульфогруппу (-SO₃H), связанные с толуольным ядром. Их структура делает их амфотерными соединениями.
  • Ключевые свойства: Наличие двух функциональных групп обуславливает их способность к реакциям диазотирования (благодаря аминогруппе), что является ключевым этапом в синтезе азокрасителей.
  • Практическое применение: Конкретные изомеры являются предшественниками для синтеза важных промышленных красителей и оптических отбеливателей. Например, 4-аминотолуол-2-сульфокислота используется в производстве ярко-желтых и оранжевых пигментов.
*Подобраны с помощью LLM, верифицированы, но возможны неточности.
Синонимы/примеры:* Аминотолуолсульфокислоты; Толуидинсульфокислоты
*подобраны ИИ, возможны неточности