Нафталинсульфокислоты
НАФТАЛИНСУЛЬФОКИСЛОТЫ (нафталинсульфоновые к-ты), соед. общей ф-лы С10Н8-n(SО3Н)n, бесцв. или светло-желтые кристаллы (см. табл.); раств. в этаноле, диэтиловом эфире, конц. минер. к-тах, воде; с водой образуют кристаллогидраты, поэтому для идентификации нафталинсульфокислот часто используют разл. функц. производные, напр. эфиры, сульфохлориды.
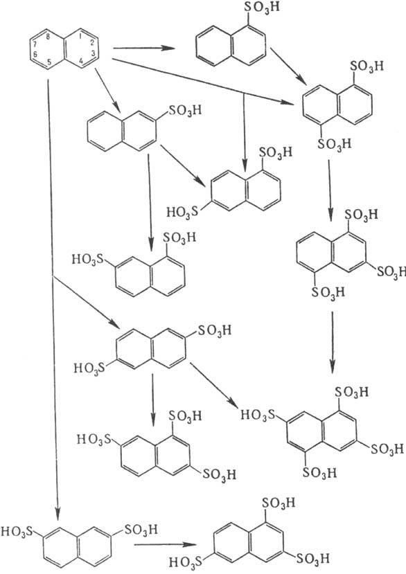
Нафталинсульфокислоты обладают св-вами ароматич. сульфокислот. Под действием амальгамы Na или при нагр. в разб. H2SO4 нафталин-моносульфокислоты легко десульфируются; при щелочном плавлении и гидролизе превращ. в нафтолы. Сульфирование 1- и 2-нафталинсульфокислот происходит преим. в незамещенное бензольное кольцо. Для 1-нафталинсульфокислоты р-ция с олеумом идет гл. обр. по положениям 5 и 6, хуже-по положению 7, сульфирование по положению 8 не происходит; для 2-нафталинсульфокислоты-по положению 5, хуже-6. Дальнейшее сульфирование приводит к 1,3,5-, 1,3,6-и 1,3,7-сульфопроизводным, к-рые при повыш. т-ре и (или) в присут. катализатора изомеризуются друг в друга; так, при 234 °С в 100%-ной H2SO4 (кат.-НgSО4) достигается равновесие с содержанием 54% 1,3,6-сульфопроизводного. Нафталин-1,3,5- и нафталин-1,3,7-трисульфокислоты при дальнейшем сульфировании дают нафталин-1,3,5,7-тетрасульфокис-лоту.
В пром-сти нафталинсульфокислоты получают непосредств. сульфированием нафталина (см. схему). Так, нафталинмоносульфокислоты синтезируют действием на нафталин 96%-ной H2SO4. При 20-50 °С образуется гл. обр. 1-нафталинсульфокислота; повышение т-ры до 150-165 °С способствует изомеризации 1-нафталинсульфокислоты в 2-нафталинсульфокислоту (смесь содержит 85% 2-нафталинсульфокислоты и 15% 1-нафталинсульфокислоты). 2-Нафталинсульфокислоту выделяют из смеси, отгоняя с водяным паром нафталин, получающийся при гидролизе 1-Н в смеси. Индивидуальную 1-нафталинсульфокислоту синтезируют сульфированием нафталина хлорсульфоновой к-той или SO3 при 30 °С в присут. дихлорэтана, дихлорметана или нитротолуола.
Смесь нафталин-1,5- и нафталин-1, 6-дисульфокислот получают сульфированием нафталина олеумом при т-ре до 50 °С; 1,5-дисульфопроизводное из смеси выделяют в виде динатриевой соли (выход 53%), 1,6-дисульфопроизвод-нос - обработкой Са(ОН)2 с послед. упариванием р-ра. Индивидуальную нафталин-1.5-дисульфокислоту получают сульфированием нафталина хлорсульфоновой к-той или SO3 при повыш. т-ре в дихлорэтане. Смесь нафталин-2,6- и нафталин-2,7-дисульфокислот в соотношении 2:1 м.б. получена при действии моногидрата H2SO4 на нафталин при 135-175 СС с послед. выделением 2,6-дисульфопроизводного в виде динатриевой соли и высаливанием 2,7-дисульфо-производного. Индивидуальную нафталин-2,7-дисульфокис-лоту синтезируют действием на нафталин SO3 в газовой фазе.
СВОЙСТВА НЕКОТОРЫХ НАФТАЛИНСУЛЬФОКИСЛОТ

* Т. пл. хлорангидрида 68 °С. ** d425 1,441; т. ил. хлорангидрида 78 °С. *** d420 1,493.

Смесь нафталин-1,3,5- и нафталин-1,3,6-трисульфокислот (соотношение 2,5:1) получают сульфированием нафталина 65%-ным олеумом при 90 °С. Нафталин-1,3,6-трисульфокис-лота м.б. также получена сульфированием нафталина или смеси 1,6- и 2,7-дисульфопроизводных 65%-ным олеумом при 80-145 С; очищают ее кристаллизацией из 80-85%-ной H2SO4 или выделением в виде соли.
Нафталинсульфокислоты-исходные в-ва в синтезе промежут. продуктов и красителей (напр., нафтиламиносульфокислот, нафтолсульфокис-лот, нафтолов), а также ПАВ и текстильно-вспомогат. в-в.
Лит.: Эфрос Л.С., Горелик М.В., Химия и технология промежуточных продуктов. Л.. 1980. с. 118 26: Kirk-Othmcr encyclopedia, 3 ed., v. 15, N. Y., 1981, p. 719 723 Н.Б. Карпова.