Триптофан
ТРИПТОФАН [2-амино-3-(3-индолил)пропионовая к-та,
-(З-индолил)-a-аминопропионовая к-та,
-3-индолилаланин, Тгр, W], мол. м. 204,22; бесцв. кристаллы; т. пл. D,L-триптофана 283-285 0C; для D-триптофана т. пл.
(концентрация 1 г в 100 мл воды), для L-триптофана т. пл. 293-295 0C,
(концентрация 1 г в 100 мл воды); раств. в воде, ограниченно - в этаноле, не раств. в диэтиловом эфире. При
рI 5,89.

Триптофан- ароматич. аминокислота, обладает всеми св-вами 3-замещенных индолов: легко окисляется (напр., действием FeCl3 до 3-индолкарбальдегида), в сильнокислой среде неустойчив (разрушается в условиях кислотного гидролиза белков, поэтому для его определения проводят щелочной гидролиз). Конденсация триптофана с альдегидами (напр., с 4-диметиламинобенз-альдегидом) используется для его количеств. и качеств. определения. При щелочном плавлении триптофана образуются скатол, щавелевая и глиоксиловая к-ты, а при декарбоксилировании - триптамин. Триптофан дает многочисл. цветные р-ции (напр., Адамкевича реакцию).
Хим. модификацию остатков триптофана в молекулах белков проводят формилированием индольного атома N действием смеси муравьиной к-ты и HCl, а также сульфенилированием по атому С-2 цикла 2-нитрофенилсульфенилхлоридом или 2-(2-нитрофенилсульфенил)-3-метил-3-бром-3H-индолом (т. наз. BNPS-скатол) в уксусной к-те. В пептидном синтезе атом N индола иногда защищают формильной группой.
L-Триптофан- кодируемая незаменимая аминокислота, входит в состав мн. белков; наиб. кол-ва триптофана содержатся в фибриногене и
-глобулине крови.
Биосинтез триптофана в микроорганизмах осуществляется из антра-ниловой к-ты и серина. Важнейшие продукты превращения триптофана в организме - триптамин, серотонин, гетероауксин, кину-ренин [2-H2NC6H4C(O)CH2CH(NH2)COOH] и др. В кишечнике из триптофана образуется скатол.
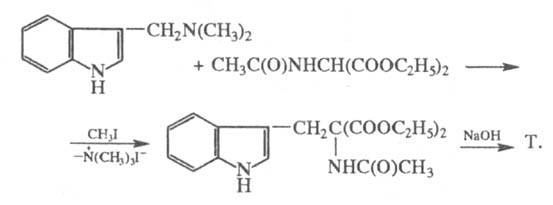
L-Триптофан можно синтезировать из грамина и ацетамидомалоно-вого эфира по схеме:

В УФ спектре триптофана
нм,
; в спектре флуоресценции триптофана l испускания (эмиссий) 348 нм. В спектре ПМР L-триптофана в D2O хим. сдвиги протонов (м. д.) у a- и b-атомов С в цепи соотв. 4,044; 3,48 и 3,3; в цикле у С-2, С-4, С-5, С-6 и С-7 соотв. 7,309; 7,729; 7,197; 7,285 и 7,536.
Триптофан впервые выделен Ф. Гопкинсом и С. Колем в 1902 из казеина.
Мировое произ-во L-триптофана ок. 200 т/год (1982). В.В. Боев.