Обмен триптофана
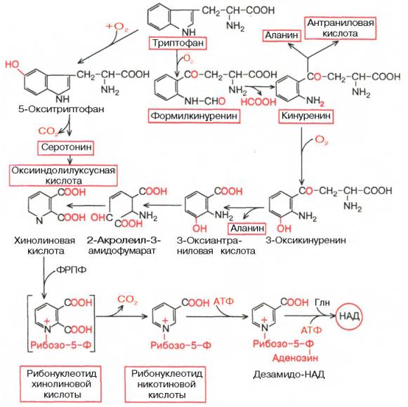
Триптофан относится к незаменимым для человека и животных аминокислотам, поскольку является предшественником ряда важных биологически активных веществ, в частности серотонина и рибонуклеотида никотиновой кислоты. Кроме того, один из его метаболитов, в частности индолилуксусная кислота, обладает ростстимулирующей активностью в отношении растений (ростовой фактор). В физиологических условиях более 95% триптофана окисляется по кинурениновому пути и не более 1% – по серотониновому (рис. 12.7). Серотонин в организме подвергается окислительному дезаминированию с образованием индолилук-сусной кислоты, которая выделяется с мочой. Содержание этой кислоты в моче повышено при поражениях кишечника злокачественными карци-ноидами, когда около 60% триптофана окисляется по серотониновому пути. Основной путь обмена триптофана приводит к синтезу НАД, уменьшая потребность организма в витамине PP. Триптофан под действием гемсодержащего фермента триптофан-2,3-диоксигеназы в присутствии молекулярного кислорода превращается в формилкинуренин, который распадается при участии формамидазы (формилкинурениназы) на муравьиную кислоту и кинуренин; последний окисляется в 3-оксикинуренин. Дальнейшие превращения 3-оксикинуренина связаны с пиридоксалевым ферментом кинурениназой, гидролизующей его на аланин и 3-оксиантраниловую кислоту, которая через ряд промежуточных продуктов (механизм образования их до конца не раскрыт) превращается в хинолиновую кислоту, т.е. в непосредственный предшественник рибонуклеотида никотиновой кислоты.

Рис. 12.7. Метаболические превращения триптофана.