Сахароза
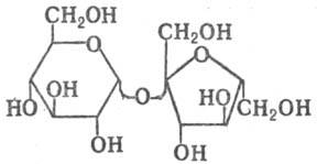
САХАРОЗА (a-D-глюкопиранозил- b-D-фруктофуранозид; свекловичный или тростниковый сахар), мол. м. 342,31; бесцв. кристаллы; из большинства р-рителей образуется стабильная кристаллич. модификация А (т. пл. 184-185°С,
1,5860), из метанола-модификация В (т. пл. 169-170°С,
1,5713);
+66,5° (вода); хорошо раств. в воде (насыщ. р-р содержит 67% сахарозы при 20 °С и 83% при 100°С), умеренно-в полярных орг. р-рителях и водно-орг. смесях, не раств. в абс. спиртах и неполярных орг. р-рителях.

Сахароза-невосстанавливающий дисахарид (см. Олигосахариды), широко распространенное резервное в-во растений, образующееся в процессе фотосинтеза и запасаемое в листьях, стеблях, корнях, цветах или плодах. При нагр. выше т-ры плавления происходит разложение и окрашивание расплава (карамелизация). Сахароза не восстанавливает реактив Фелинга, к щелочам довольно устойчива, но, будучи кетофуранози-дом, чрезвычайно легко (в ~ 500 раз быстрее трегалозы или мальтозы) расщепляется (гидролизуется) к-тами на D-глюкозу и D-фруктозу. Гидролиз сахарозы сопровождается изменением знака уд. вращения р-ра и потому наз. инверсией.
Аналогичный гидролиз протекает под действием a-глюко-зидазы (мальтазы) или b-фруктофуранозидазы (инвертазы). Сахароза легко сбраживается дрожжами. Будучи слабой к-той (К ок. 10-13), сахароза образует комплексы (сахараты) с гидроксида-ми щелочных и щел.-зем. металлов, к-рые регенерируют сахарозу при действии СО2.
Биосинтез сахарозы происходит в подавляющем большинстве фотосинтезирующих эукариот, осн. массу к-рых составляют растения (исключение-представители красных, бурых, а также диатомовых и нек-рых др. одноклеточных водорослей); его ключевая стадия-взаймод. уридиндифосфатглю-козы и 6-фосфат-D-фруктозы. Животные к биосинтезу сахарозы не способны.
Сахарозу получают в пром. масштабах из сока сахарного тростника Saccharum officinarum или сахарной свеклы Beta vulgaris; эти два растения обеспечивают ок. 90% мировой продукции сахарозы (в соотношении ок. 2:1), к-рая превышает 50 млн. т/год. Хим. синтез сахарозы весьма сложен и экономич. значения не имеет.
Сахарозу используют как пищ. продукт (сахар) непосредственно или в составе кондитерских изделий, а в высоких концентрациях-как консервант; сахароза служит также субстратом в пром. ферментац. процессах получения этанола, бутанола, глицерина, лимонной и левулиновой к-т, декстрана; используется также при приготовлении лек. ср-в; нек-рые сложные эфиры сахарозы с высшими жирными к-тами применяют в качестве неионных детергентов.
Для качеств. обнаружения сахарозы можно использовать синее окрашивание с щелочным р-ром диазоурацила, к-рое, однако, дают и высшие олигосахариды, содержащие в молекуле фрагмент сахарозы,-раффиноза, генцианоза, стахиоза.
Лит.: Levi I., Purves сахароза В., "Advances in carbohydr. Chem.", 1949, v. 4, p. 1-35; Wiggins L. F., там же, р. 293-336; Avigad G., in: Encyclopedia of plant physiology, v. 13А, В., 1982, p. 217-347. " A.M. Усов.