Декстраны
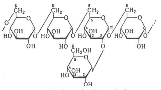
ДЕКСТРАНЫ (С6Н10О5)n, группа бактериальных полисахаридов, состоящих из остатков a-D-глюкопиранозы. Молекулы декстранов - разветвленные цепи (см. ф-лу), линейная часть к-рых содержит гл. обр. 1 : 6-связи и небольшое кол-во 1 : 3-связей (в нек-рых редко встречающихся декстранах обнаружены
чередующиеся 1 : 6- и 1 : 3-связи). Разветвления в молекуле декстрана образуются с помощью 1 : 2-, 1 : 3- или 1 : 4-связей. В индивидуaльном декстране обычно имеются один или два типа связей ветвления. Боковые ветви молекулы состоят обычно из одного или двух остатков глюкозы, реже встречаются более длинные боковые цепи. Мол. м. декстранов 107-108: [a]D25 индивидуальных декстранов варьирует от + 208 до + 233 ° (формамид) и от + 203 до + 232 ° (1 н. р-р КОН). Св-ва полисахарида зависят от его структуры и мол. массы. Известны декстраны, к-рые хорошо раств. в воде, формамиде, ДМФА и ДМСО, нек-рые раств. только в р-рах щелочи. В ИК спектре декстраны дают полосы поглощения в области 917, 840 и 768 см-1, характерные для 1 : 6-гликозидных связей. Декстраны продуцируются разными видами бактерий семейства стрептококковых Streptococcaceae. Наиб. изучены декстраны, продуцируемые видами Leuconostoc mesenteroides и Leuconostoc dextranicum. Биосинтез декстранов осуществляется путем расщепления сахарозы с послед. переносом остатка глюкозы на акцептор, к-рым м. б. сахароза или растущая цепь декстрана. Р-ция катализируется ферментом декстрансахаразой. Осуществлен синтез простейшего линейного a-1 : 6-глюкана полимеризацией 1,6-ангидро-2,3,4-три-О-бензил-a-D-глюкопиранозы в присут. кислых катализаторов с послед. удалением защитных групп. В пром-сти декстраны получают выращиванием бактерий-продуцентов на среде, содержащей сахарозу, с послед. осаждением декстранов орг. р-рителем. Декстраны с заданными св-вами м. б. получены с помощью очищенных препаратов декстрансахаразы. Количеств. определение декстранов осуществляют по глюкозе, образующейся при его гидролизе. Частично гидролизованные, т. н. клинические, декстраны с мол. м. 30-80 тыс. (содержат не менее 95% 1 : 6-связей) используют для приготовления плазмозаменителей противошокового и гемодинамич. действия. Декстраны, сшитые поперечными связями эпихлоргидрином (т. н. с е ф а д е к с ы), и их производные - сорбенты в гель-хроматографии, ионообменной и гидрофобной хроматографии и электрофорезе.
Литература
Преображенская М.Е., Декстраны и декстраназы. Успехи биологической химии, т. 16, М., 1975, с. 214-35; Dextran bibliography, ed. by A. Jeanes, Wash., 1978; WalkerG.J., "Internet Rev. of Biochem.", Biochemistry of Carbohydrate, v. 16, Balt., 1978, p. 75-126. M.E. Преображенская.
Синонимы/примеры:*
Декстран 40; Декстран 70; Декстран 75; Декстран 110; Декстран 150; Декстран 250; Декстран 500; Декстран 1000; Декстран 2000; Полиглюкин; Реополиглюкин; Лонгастерин; Макродекс
*подобраны ИИ, возможны неточности
Ещё по теме
Биосинтез полисахаридов — механизмы и применение
Полидезоксирибонуклеотид-синтетазы и их роль в синтезе ДНК
Моно- и дисахариды — строение и роль в природе
Дисахариды — строение и свойства
Декстроза — применение, противопоказания и побочные эффекты
Дезоксирибонуклеотиды — строение и роль в ДНК
Декстроза (Дексаква) — информация и применение
Нуклеотиды — строение, свойства и роль в биохимии
D-фруктоза — свойства и роль в природе
Механизмы распада нуклеиновых кислот
Дезоксирибонуклеозиды — строение и роль в биологии
Цереброзиды — структура и функции