Биосинтез полисахаридов
Биосинтез крахмала и гликогена хорошо изучен. В основном он заключается в следующем.
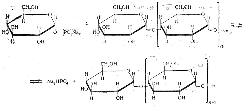
Под влиянием фермента фосфорилазы от 1-фосфата глюкозы отщепляется неорганический фосфат, а остаток глюкозы присоединяется к невосстанавливающему концевому глюкозному остатку полисахаридной цепи.
Синтез сводится к удлинению цепи;

поэтому для начала процесса необходима «затравка» в виде небольшого количества полисахаридов (крахмала или гликогена) или продуктов их расщепления, состоящих из сравнительно небольшого числа глюкозных остатков.
В результате описанного процесса образуется неразветвленная цепь, и первые попытки получить высшие полиозы in vitro при помощи лишь одного фермента — фосфорилазы приводили к синтезу полисахаридов типа амилозы. Для получения разветвленных структур необходимы другие ферменты, способные в отличие от фосфорилазы создавать связи α-1,6'. Такие ферменты были найдены как в растительных, так и в животных организмах. В настоящее время при помощи этих ферментов произведены in vitro ферментативные синтезы как амилозы и амилопектина, так и гликогена. В последние годы открыт новый путь биосинтеза полисахаридов типа гликогена, заключающийся в наращивании полиглюкозидной цепи в результате присоединения глюкозных остатков из нуклеотида — уридиндифосфата глюкозы.
Декстран — высшая полиоза, образующаяся из сахарозы под влиянием Leuconostoc mesenteroides и некоторых других микроорганизмов при отщеплении фруктозы и соединении остатков глюкозы в полигликозидные цепи:

Молекулярный вес декстрана — от нескольких миллионов до нескольких десятков миллионов. Остатки глюкозы соединены в декстране преимущественно α-1,6'-гликозидными связями; в точках ветвления имеются 1,4'- или 1,3'-связи. Препараты частично гидролизованных декстранов (с молекулярным весом 30 000—60 000) в последние годы получили широкое применение в качестве заменителей крови (например, советский препарат — полиглюкин).