Сахароза
(тростниковый сахар, свекловичный сахар, обыкновенный сахар) является 2-(α-глюкопиранозидо)-β-фруктофуранозидом. Строение сахарозы изучалось весьма длительное время, причем наиболее существенные сведения получены методом метилирования.
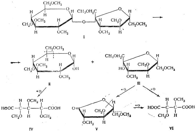
При гидролизе октаметилсахарозы (I) получены тетраметилглюкоза (II) и тетраметилфруктоза (III), что подтверждает принадлежность сахарозы к дисахаридам группы трегалозы. Полученная тетраметилглюкоза (II) оказалась 2,3,4,6-тетраметилглюкопиранозой, так как при окислении она давала триметоксиглутаровую кислоту (IV), а при ее метилировании получался тетраметилметилглюкозид, тождественный получаемому при метилировании обычного α-метилглюкопиранозида. Тетраметилфруктоза (III) оказалась 1,3,4,6-тетраметилфруктофуранозой, так как при различных условиях окисления она давала γ-лактон триметоксиксилоновой кислоты (V) и диметилвинную кислоту (VI) Все это видно из приводимой схемы:

Наличие в сахарозе остатка фруктозы в виде не шестичленного, а пятичленного кольца вначале показалось неожиданным, так как для всех свободных гексоз, в том числе и для свободной фруктозы, было установлено наличие шестичленного кольца. Пришлось допустить, что образующаяся при гидролизе сахарозы фруктофураноза частично изомеризуется во фруктопиранозу. В дальнейшем было показано, что и в других сложных сахарах фруктоза обычно присутствует в виде пятичленного цикла.
Строение сахарозы в последние годы было подтверждено методом периодат-ного окисления, при котором на окисление сахарозы расходуется 3 моль HJО4 и образуется 1 моль муравьиной кислоты:

При этом вовсе не образуется формальдегида, что в свою очередь свидетельствует о том, что ни в одном из остатков моносахарида нет свободного гидроксила в пятом положении.
Тростниковый сахар был известен за много столетий до нашей эры. Он является одним из важнейших пищевых продуктов, обладает консервирующими свойствами, широко распространен в растительном мире. Листья и семена всегда содержат небольшие количества тростникового сахара. Он находится также в плодах, часто вместе с монозами, например в абрикосах, персиках, грушах, ананасе и пр. В особенно большом количестве, он содержится в корнеплодах сахарной свеклы (до 27%, в среднем 16—20%), в стеблях сахарного проса (сорго) и сахарного тростника (в соке 14—26%), из которых он и добывается заводским способом.
В промышленности тростниковый сахар получают из сахарной свеклы следующим образом. Сахарную свеклу разрезают на тонкие стружки и извлекают сахар и другие растворимые вещества горячей водой (диффузия). Получаемый раствор, содержащий 12—15% сахара, обрабатывают известью (дефекация). При этом нейтрализуются и частью осаждаются свободные кислоты (щавелевая, лимонная), а также фосфаты, белковые и красящие вещества свеклы. Раствор, содержащий избыток извести, обрабатывают углекислотой (сатурация). Образующийся карбонат кальция, адсорбировавший примеси, отделяют на вакуум-фильтре, после чего раствор подвергают повторной дефекации и сатурации. Очищенный раствор упаривают в вакуум-аппаратах. Сахар выделяется из охлажденного раствора в виде мелких кристаллов, которые центрифугированием отделяют от маточного раствора. Повторным сгущением и кристаллизацией маточного раствора выделяют остаток сахара, после чего остается некристаллизующаяся густая масса, называемая кормовой патокой или меляссой. В меляссе содержится некоторое количество сахара, а также различные безазотистые и азотсодержащие примеси (из последних особенно важен бетаин). Полученный таким образом сырой сахарный песок подвергают очистке (рафинированию). Для этого его растворяют в воде, раствор фильтруют через животный или древесный активированный уголь и упаривают до кристаллизации.
Тростниковый сахар может быть получен в виде больших прозрачных кристаллов моноклинной системы. Он чрезвычайно хорошо растворим в воде, особенно в горячей, и легко дает густые пересыщенные растворы (сиропы). Физические свойства растворов тростникового сахара хорошо известны; на них проверялись и устанавливались физико-химические законы для растворов.
Растворы тростникового сахара не обнаруживают мутаротации, что находится в соответствии с его строением. Величина удельного вращения плоскости поляризации в водных растворах тростникового сахара довольно постоянна и может использоваться для определения концентрации растворов сахара. При содержании 30 г сахара в 100 мл раствора [α]D20=+66,5°.
Тростниковый сахар кристаллизуется в двух модификациях. Одна из них. получающаяся из большинства растворителей, плавится при 185° С с небольшим разложением; вторая модификация, получаемая кристаллизацией из метилового спирта, плавится при 170° С. Обычно препараты сахарозы имеют т. пл. от 160 до 185° С, в зависимости от способа очистки; при охлаждении они застывают в аморфную стекловидную массу. При более высоких температурах сахароза буреет, разлагаясь с выделением воды и образуя так называемую карамель — смесь некристаллизующихся веществ. При дальнейшем нагревании карамель обугливается, выделяя пары и газы.
Тростниковый сахар не восстанавливает фелинговой жидкости, не реагирует с фенилгидразином и не изменяется от действия разбавленных щелочей. При гидролизе под действием кислот или энзимов, например диастаза или содержащейся в дрожжах спиртового брожения инвертазы, он распадается (превращается, или «инвертируется»), образуя смесь равных количеств D-глюкозы и D-фруктозы, называемую инвертным сахаром. Инвертный сахар вращает плоскость поляризации влево, так как левое вращение фруктозы больше правого вращения глюкозы.
С основаниями тростниковый сахар дает сахараты. Различная растворимость сахаратов щелочноземельных металлов (в частности, кальция) используется для выделения сахара из растворов. Моносахарат кальция C12H22O11 ∙ СаО ∙ 2Н2О и дисахарат кальция C12H22O11 ∙ 2СаО легко растворимы в воде; при кипячении же из растворов выпадает в осадок трудно растворимый трисахарат C12H22O11 ∙ 3СаО ∙ 3Н2О.
При действии уксусного ангидрида на тростниковый сахар получается октаацетилсахароза C12H14O3(OCOCH3)8, имеющая т. пл. 67° С; она обладает горьким вкусом.
Синтез тростникового сахара. Химический синтез тростникового сахара является одной из наиболее трудных проблем химии сахаров, не разрешенной до настоящего времени. В литературе неоднократно появлялись сообщения о синтезе сахарозы, но в дальнейшем либо описанные синтезы не могли быть воспроизведены, либо при детальном изучении продукта оказывалось, что получена не сахароза, а ее стереоизомер. Особой трудностью этого синтеза является то, что компоненты сахарозы — глюкоза и фруктоза, находясь в виде фиксированных α- и β-гликозидных остатков, могут дать четыре сочетания α-α', α-β' β-β' и β-α', причем остаток фруктозы должен войти в виде лабильного пятичленного кольца. Один из этих изомеров — изосахарозу, или 2-(β-глюкозидо)-α-фруктозид — получил Пикте.
Ферментативный синтез сахарозы был проведен А. И. Опариным и А. Л. Курсановым в 1928 г. В 1942 г. ферментативным синтезом удалось получить синтетическую сахарозу в кристаллическом состоянии.