Структура и разнообразие олигосахаридов

Моносахариды – полифункциональные соединения. Многие их реакции обусловлены, как мы видели, преимущественно карбонильной группой. В других же они выступают прежде всего как спирты. В качестве спиртов они могут служить агликонной составляющей гликозидов. Так, возникают дисахариды, в которых два моносахаридных остатка соединенных гликозидной связью, причем один из них является гликозильным остатком, а другой – агликоном. Так, например, в молочном сахарелактозе – остаток D-галактозы составляет гликозильную часть молекулы, а остаток D-глюкозы служит агликоном. В другом дисахариде – рутинозе – роль гликозильного остатка и агликона выполняют соответственно остатки L-рамнозы и D-глюкозы (см. с. 23).

Моносахариды не просто спирты, а многоатомные спирты. Поэтому каждый из них может выступать в качестве агликона несколькими способами в зависимости от того, к какому из гидроксилов присоединен гликозильный остаток.

А эти остатки, как мы видим, могут иметь четыре различные структуры для каждого моносахарида. Но и это еще не исчерпывает разнообразия дисахаридных структур, так как и полуацетальный гидроксил может служить местом присоединения гликозильного остатка. Примером таких дисахаридов – их называют невосстанавливающими, так как в отличие от остальных дисахаридов и от моносахаридов, они не восстанавливают реагенты типа фелинговой жидкости или аммиачного раствора окиси серебра – может служить трегалоза (29). В таком дисахариде любой из двух моносахаридных остатков можно произвольно считать либо гликозильным, либо агликоном. Другой пример невосстанавливающего дисахарида – сахароза (или тростниковый сахар) (30), построенная из остатков D-глюкозы и D-фруктозы.

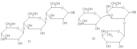
По той же схеме, по которой строятся дисахариды, можно связать цепочку из трех моносахаридных остатков. Такие соединения называются трисахаридами. Их примерами могут служить целлотриоза (31) и солатриоза (32). Первая построена из трех остатков D-глюкозы, вторая – из остатков L-рамнозы, D-глюкозы и D-галактозы.

При переходе к трисахаридам обнаруживаются две качественно новые особенности компоновки структур: во-первых, в соединениях типа целлотриозы, центральный моносахаридный блок выступает одновременно и в роли агликона, и в роли гликозильного остатка; во-вторых, два гликозильных остатка могут быть присоединены к одному и тому же моносахаридному остатку (который таким образом оказывается, так сказать, дважды агликоном). В цепи моносахаридных остатков появляется разветвление. Такие трисахариды называются разветвленными, а остаток, к которому присоединены два гликозильных остатка(«дважды агликон»), называют точкой ветвлений. Так, солатриоза (32) – разветвленный трисахарид, точкой ветвления в котором служит остаток D-галактозы.

Аналогично трисахаридам устроены тетрасахариды (четыре моносахаридных остатка), пентасахариды, гексасахариды и т.д. Весь же класс таких соединений называют олигосахаридами («олиго»-несколько). Если говорить о качественно новых структурных особенностях высших олигосахаридов, то можно указать на возможность существования нескольких разветвлений в одной молекуле.

Олигосахариды могут отличаться одним от другого структурой входящих в них моносахаридов, их последовательностью в цепи, наличием или отсутствием разветвлений, размерами циклов (фураноза-пираноза), конфигурацией гликозидных центров и местами присоединения гликозильных остатков к агликонам. Все это в совокупности приводит к возникновению невообразимо огромного числа возможных изомеров даже у сравнительно простых олигосахаридов.

Обратимся к арифметическому расчету. Из двух разных гексоз, скажем из D-глюкозы и D-галактозы, можно построить 56 изомерных дисахаридов. Из трех гексоз (например, из D-глюкозы, D-галактозы и D-маннозы) – 4896 изомерных трисахаридов, из четырех гексоз – 374784 тетрасахарида. Если же учесть еще возможные вариации в структуре исходных моносахаридов, то цифры становятся поистине астрономическими. Так, из восьми гексоз D-ряда можно построить различных дисахаридов – 3136, трисахаридов – 1645056 и т.д. Но не будем увлекаться. Вспомним, что число индивидуальных органических соединений всех классов человечеству пока известно всего несколько миллионов, а олигосахаридов среди них – меньшинство. К чему же тогда запугивать читателя такой арифметикой? А вот к чему.

Во-первых, из того, что подавляющее большинство этих несметных полчищ олигосахаридов нам неизвестно, еще не следует, что их не может быть вообще. Поэтому при изучении строения нового олигосахарида исследователь обязан учитывать, что это соединение может иметь любую структуру из числа тех тысяч и миллионов изомеров, возможность существования которых предсказывает для него структурная теория. Например, если мы выделили тетрасахарид и уже знаем, из каких именно моносахаридов он состоит (пусть это будут для определенности четыре различных гексозы), то дальнейшая задача структурного исследования – выбрать для него одну (единственную!) структуру из 374784 возможных. На случайный выигрыш в такой лотерее рассчитывать не приходится.

Во-вторых, для живой клетки такое огромное разнообразие возможных структур, включающее считанные единицы мономерных остатков, означает гигантские информационные возможности, совершенно несопоставимые по мощности с возможностями такого классического информационного материала, как последовательность нуклеотидных звеньев в нуклеиновых кислотах. Вспомним: трехбуквенный генетический код позволяет построить из четырех основных природных нуклеотидов всего 64 «слова», тогда как из восьми гексоз (а разнообразие природных моносахаридов гораздо больше) уже можно составить 1645056 трисахаридных «слов».

Такое сопоставление заставляет задуматься. Неужели эволюция сумела создать сахара и не сумела как следует распорядиться их информационной емкостью? В течение длительного времени казалось, что действительно не сумела. Однако в последние годы становится ясно, что олигосахаридные остатки на поверхности клеток и макромолекул служат тем сигналом, по которому клетки или макромолекулы различают друг друга. Иначе говоря, эволюция использовала информационные возможности сахаров, и притом наиболее рациональным и экономным способом: там, где при помощи минимального числа носителей информации нужно добиться максимального, практически неограниченного разнообразия индивидуальных характеристик.